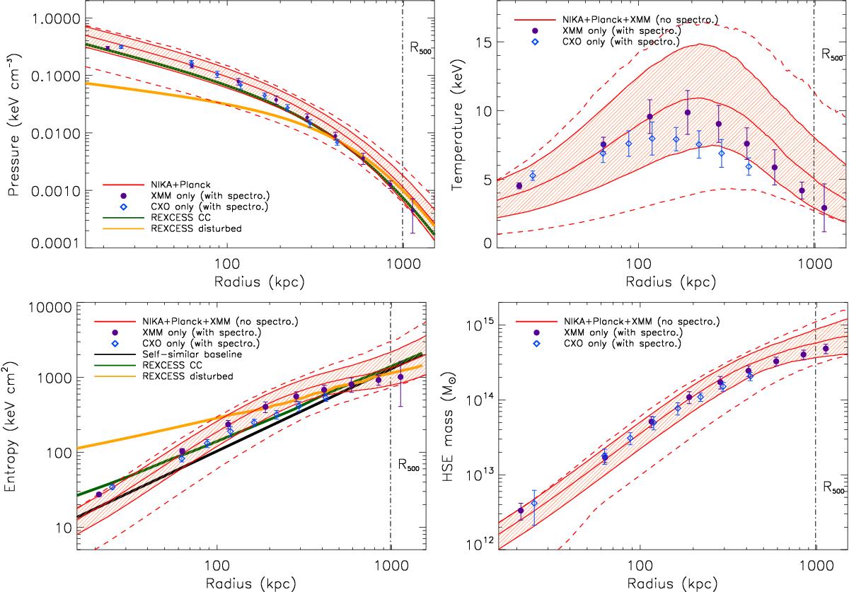
Fig. 8

MCMC constraints on the deprojected radial profiles of the pressure (top left), temperature (top right), entropy (bottom left), and hydrostatic mass (bottom right). The Chandra only and XMM-Newton only measurements are shown with blue diamonds and purple dots, respectively. The red shaded area shows the MCMC 68% confidence limit from model M2, and the central solid line corresponds to the best-fit model. The two red dashed lines give the upper and lower limits allowed considering all three models: M1, M2, and M3 (see Fig. 5). In the case of the pressure profile, the constraint is driven by the NIKA and Planck tSZ data. Nevertheless, it also depends slightly on the X-ray derived electronic density since we correct for the relativistic corrections, using the temperature computed from the pressure and density, when comparing a given model to the data. We also show the pressure (Arnaud et al. 2010) and entropy (Pratt et al. 2010) profiles of both cool core (green solid line) and morphologically disturbed (orange solid line) clusters based on REXCESS, a representative sample of nearby X-ray clusters. For the entropy profile, the self-similar expectation from nonradiative simulations from Voit et al. (2005) is also represented as a black solid line.
Current usage metrics show cumulative count of Article Views (full-text article views including HTML views, PDF and ePub downloads, according to the available data) and Abstracts Views on Vision4Press platform.
Data correspond to usage on the plateform after 2015. The current usage metrics is available 48-96 hours after online publication and is updated daily on week days.
Initial download of the metrics may take a while.