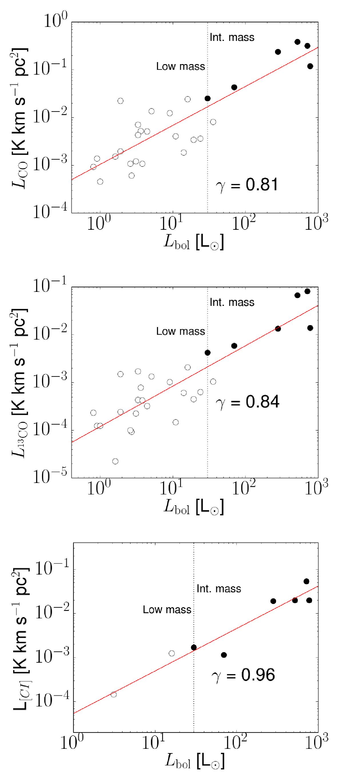
Fig. 6

Top: CO 6–5 line luminosity vs. Lbol. Middle: 13CO 6–5 line luminosity vs. Lbol. Bottom: [CI] 3P2–3P1 line luminosity vs. Lbol. Fits to the line luminosities are shown in red, with the slope labeled “γ”. The slopes are within the error bars of San Jose-Garcia et al. (2013). Open symbols are the low-mass sample from Yıldız et al. (2013). No [CI] was reported in Yıldız et al. (2013). The [CI] detections of van Kempen et al. (2009a) are included.
Current usage metrics show cumulative count of Article Views (full-text article views including HTML views, PDF and ePub downloads, according to the available data) and Abstracts Views on Vision4Press platform.
Data correspond to usage on the plateform after 2015. The current usage metrics is available 48-96 hours after online publication and is updated daily on week days.
Initial download of the metrics may take a while.