Free Access
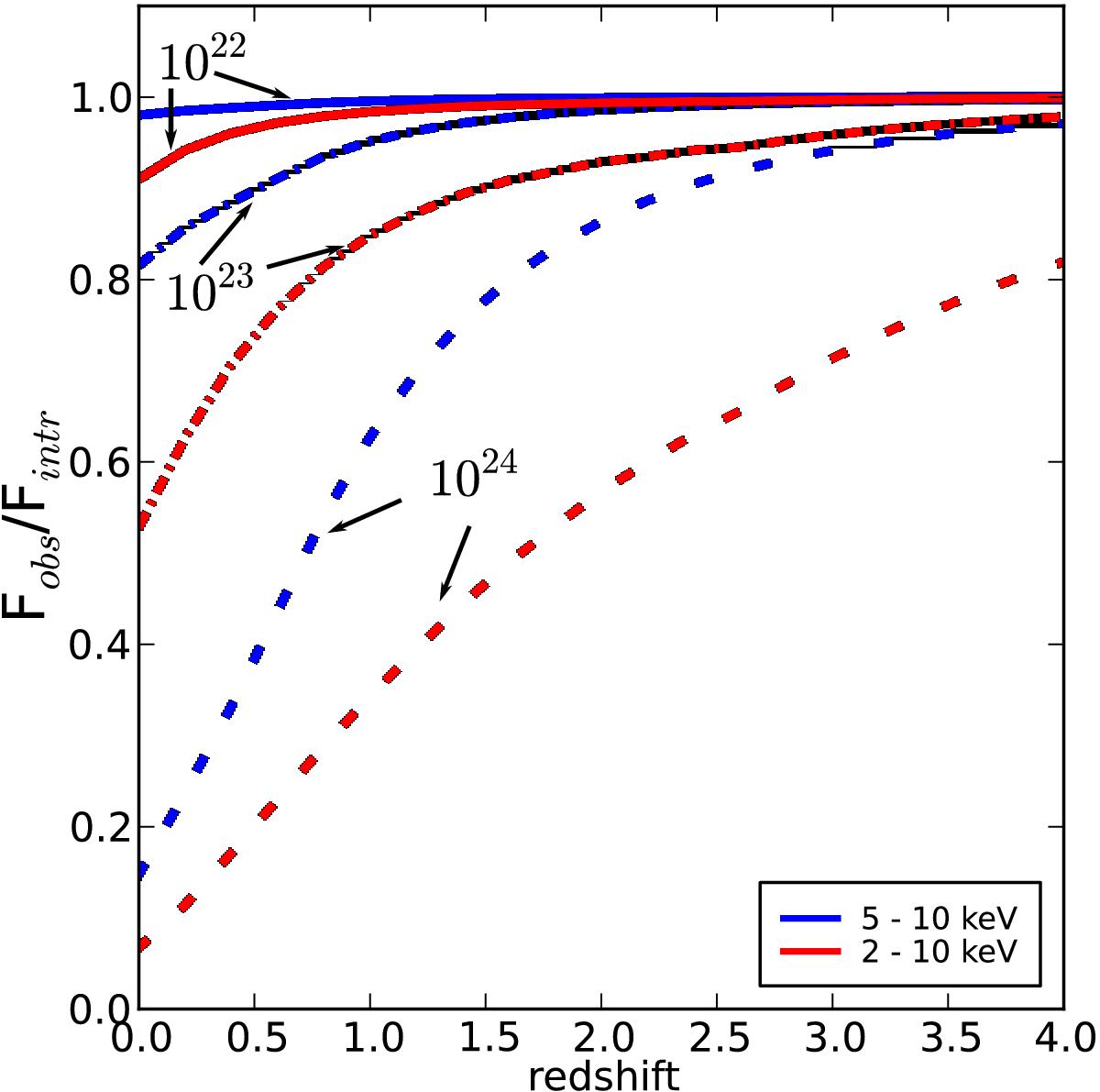
Fig. 2

Observed flux over intrinsic flux for a power-law spectrum with photoelectric absorption in the 5−10 keV band (blue) and 2−10 keV energy band (red). The observed 5−10 keV flux is never lower than 80% of the intrinsic at all redshifts and for column densities up to log NH = 23.
Current usage metrics show cumulative count of Article Views (full-text article views including HTML views, PDF and ePub downloads, according to the available data) and Abstracts Views on Vision4Press platform.
Data correspond to usage on the plateform after 2015. The current usage metrics is available 48-96 hours after online publication and is updated daily on week days.
Initial download of the metrics may take a while.