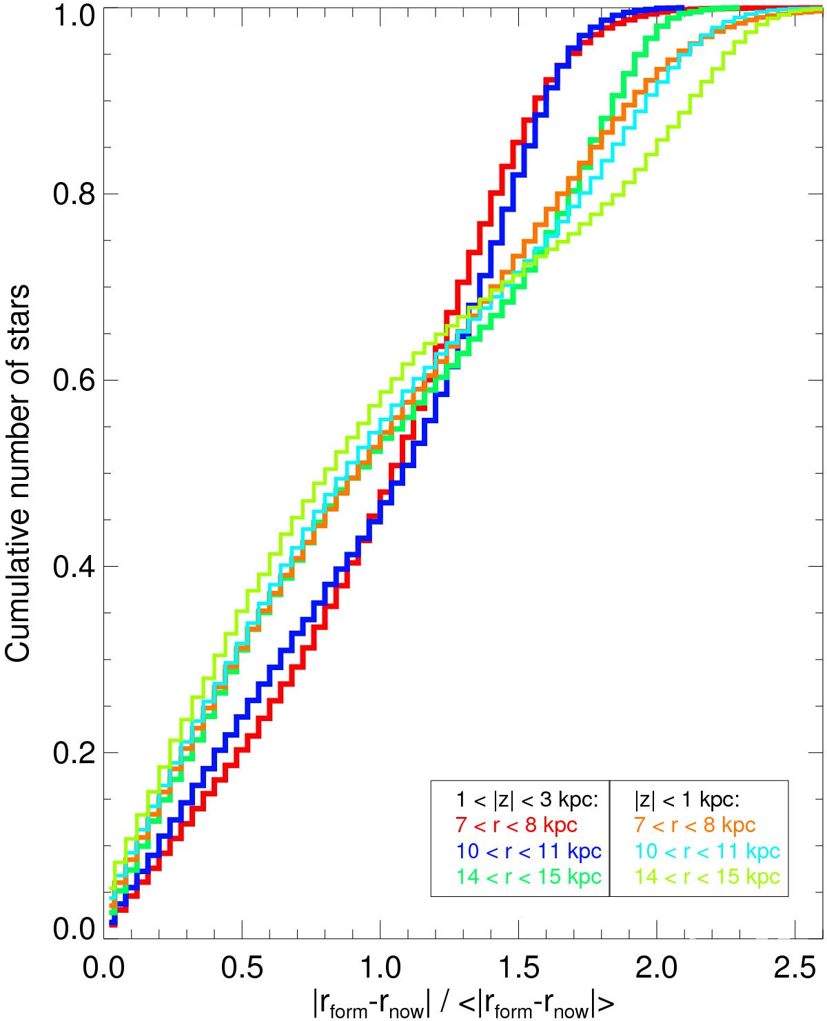
Fig. 11

Cumulative distribution function of the distance travelled by each star normalised to the average migration. Each line indicates the migration corresponding to one of the panels in Fig. 10. Large values along the x-axis represent greater degrees of migration. Darker colours correspond to the thick disc: stars which are currently located in the range 7 <r< 8 kpc are shown in red, the ones at 10 <r< 11 kpc in blue, and the ones at 14 <r< 15 kpc in green. Lighter colours match the same radial bin but in the thin disc, with orange corresponding to our innermost bin (7 <r< 8 kpc), cyan the medium bin (10 <r< 11 kpc), and light green the outermost one (14 <r< 15 kpc).
Current usage metrics show cumulative count of Article Views (full-text article views including HTML views, PDF and ePub downloads, according to the available data) and Abstracts Views on Vision4Press platform.
Data correspond to usage on the plateform after 2015. The current usage metrics is available 48-96 hours after online publication and is updated daily on week days.
Initial download of the metrics may take a while.