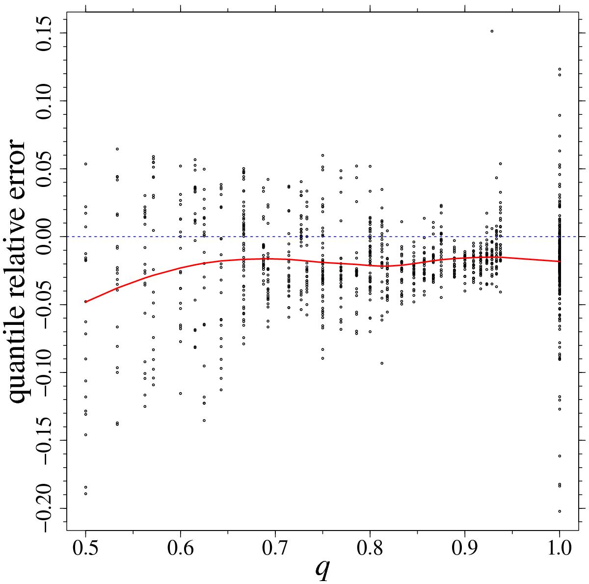
Fig. 6

Relative difference of the W0.95 critical values obtained from the sample data and from the approximating beta distribution, in dependence on the mass ratio q (see text). A positive value implies that the computed quantile is larger than the theoretical one. The red line is a loess smoother of the data that shows the mean trend of the relative error.
Current usage metrics show cumulative count of Article Views (full-text article views including HTML views, PDF and ePub downloads, according to the available data) and Abstracts Views on Vision4Press platform.
Data correspond to usage on the plateform after 2015. The current usage metrics is available 48-96 hours after online publication and is updated daily on week days.
Initial download of the metrics may take a while.