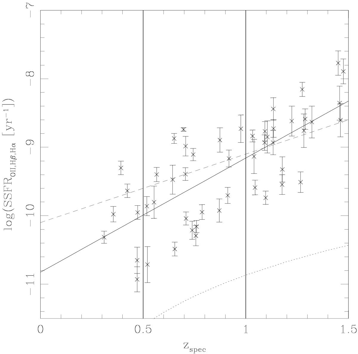
Fig. 10

Evolution of the SSFR as function of the redshift. The solid line shows the linear fit applied to the mass limited sample, while the dashed line shows the trend found by Juneau et al. (2013) for FIDEL infrared galaxies at 0.3 <z< 1.0, extrapolated to the whole interval probed. The dotted line shows the limit SSFR of our survey. The vertical lines delimit the redshift intervals used for further analysis.
Current usage metrics show cumulative count of Article Views (full-text article views including HTML views, PDF and ePub downloads, according to the available data) and Abstracts Views on Vision4Press platform.
Data correspond to usage on the plateform after 2015. The current usage metrics is available 48-96 hours after online publication and is updated daily on week days.
Initial download of the metrics may take a while.