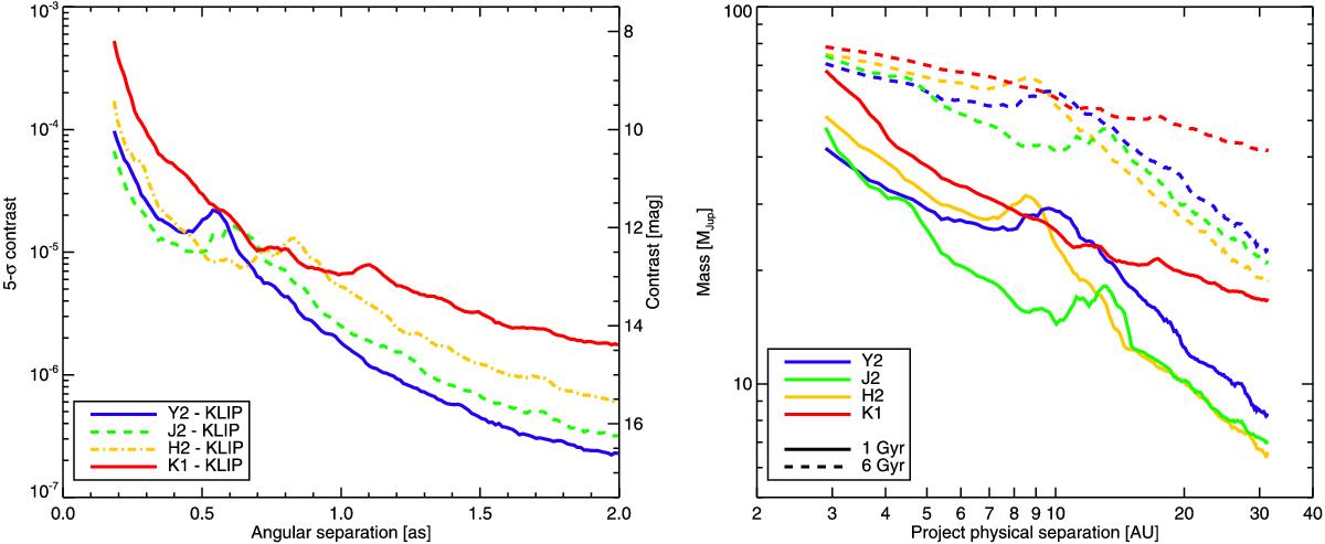
Fig. 15

Left: 5σ detection limits measured in the Y2,J2,H2, and K1 filters using a KLIP analysis, with a number of subtracted modes that vary to maximize the algorithm throughput. Right: conversion of these detection limits into physical units using the known distance of the GJ 758 system (15.76 pc) and the AMES-COND evolutinary tracks (Baraffe et al. 2003), calculated in the IRDIS filters. Two sets of curves assuming the two extremes of the system age range (1 and 6 Gyr, see Sect. 4) are displayed. The limits for the nominal age of 3 Gyr lie in-between, slightly closer to the 6 Gyr limit than the 1 Gyr limit.
Current usage metrics show cumulative count of Article Views (full-text article views including HTML views, PDF and ePub downloads, according to the available data) and Abstracts Views on Vision4Press platform.
Data correspond to usage on the plateform after 2015. The current usage metrics is available 48-96 hours after online publication and is updated daily on week days.
Initial download of the metrics may take a while.