Free Access
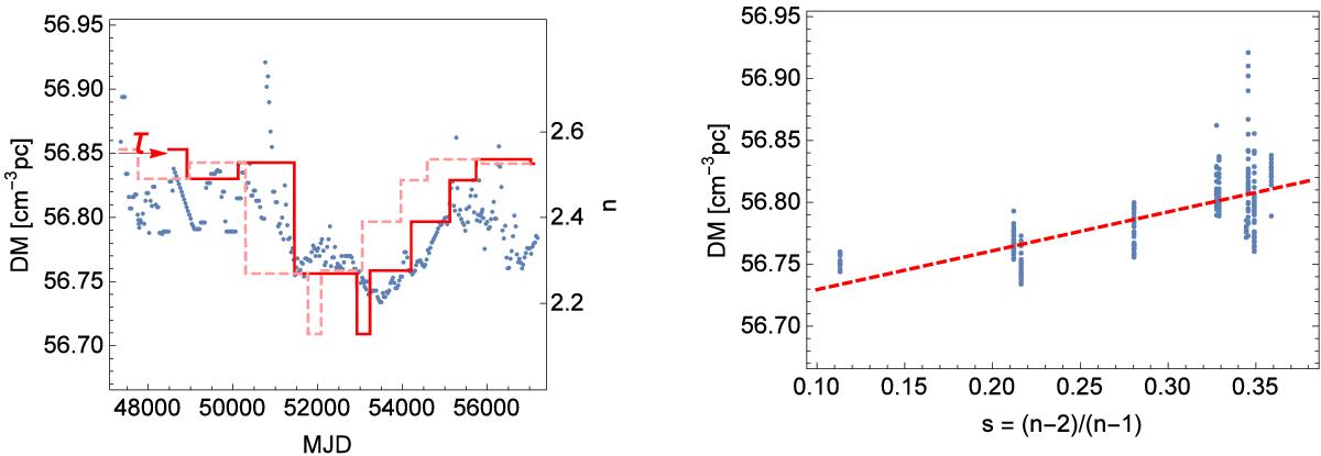
Fig. 7

Left: dispersion measure DM(t) (blue dots), braking index n(t−τ) for τ = 1100 days (continuous red line). The dashed red line shows n(t). Right: correlation between braking index (n) and dispersion measure DM. The correlation coefficient is 0.7.
Current usage metrics show cumulative count of Article Views (full-text article views including HTML views, PDF and ePub downloads, according to the available data) and Abstracts Views on Vision4Press platform.
Data correspond to usage on the plateform after 2015. The current usage metrics is available 48-96 hours after online publication and is updated daily on week days.
Initial download of the metrics may take a while.