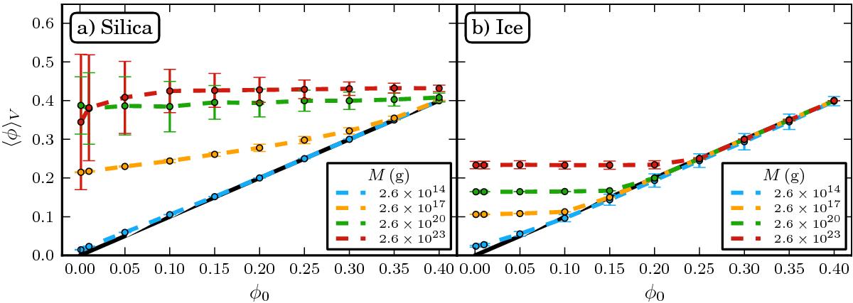
Fig. 3

Pebble compression for pure ice and silica pebbles. Volume-weighted mean filling factor at the end of collapse as a function of initial filling factor: a) silica pebbles; b) ice pebbles. The four cases of a very low-mass (blue), a low-mass (yellow), an intermediate-mass (green), and high-mass (red) cometesimal are shown. Along the black dotted line, the final filling factor equals the initial filling factor. The error bar indicate the standard deviation of the pebble ensemble. Silica pebbles are significantly compressed for M> 2.6 × 1020 g. The maximum filling factor ice pebbles can obtain by compression is considerably lower than for silica, φ ~ 0.23 compared to φ ~ 0.43.
Current usage metrics show cumulative count of Article Views (full-text article views including HTML views, PDF and ePub downloads, according to the available data) and Abstracts Views on Vision4Press platform.
Data correspond to usage on the plateform after 2015. The current usage metrics is available 48-96 hours after online publication and is updated daily on week days.
Initial download of the metrics may take a while.