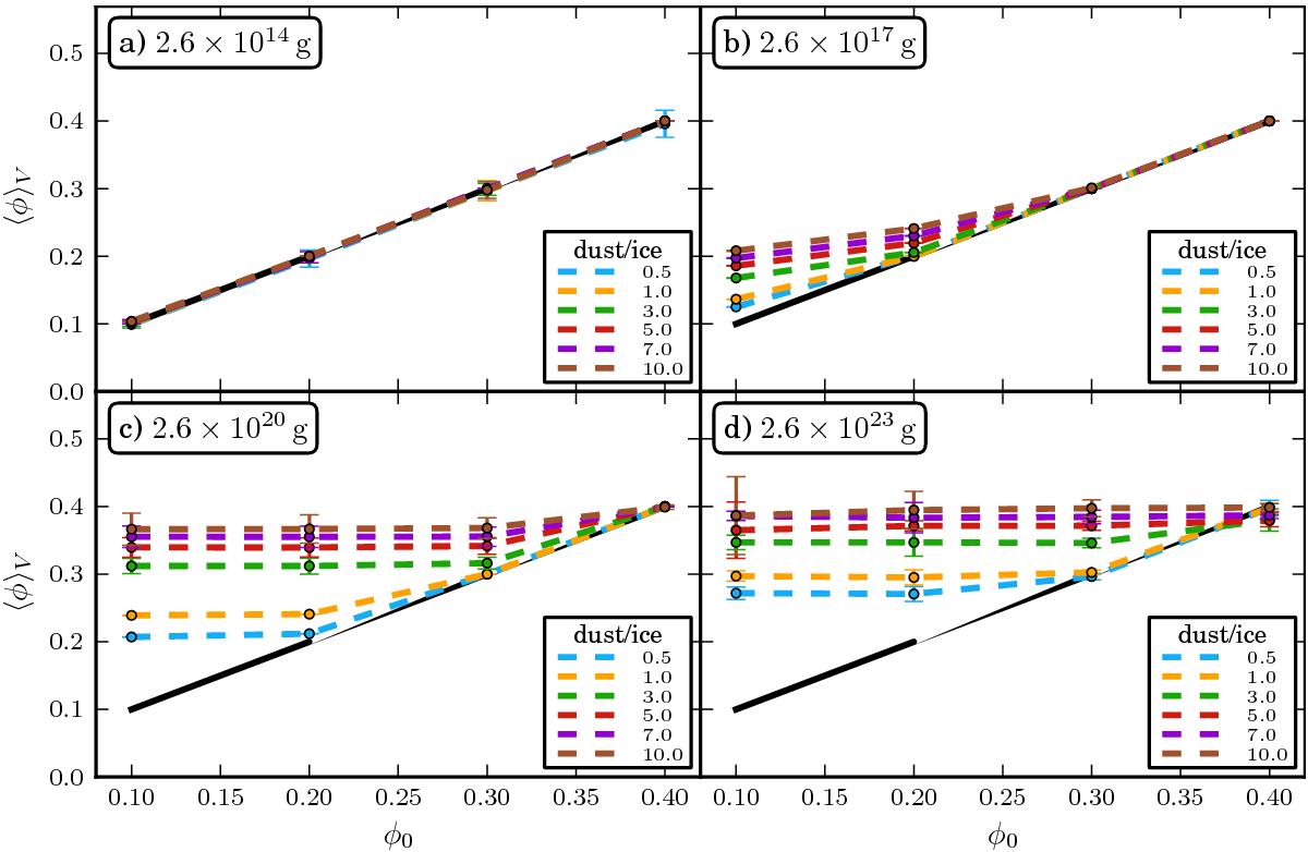
Fig. 4

Pebble compression for mixed pebbles. Volume-weighted mean filling factor at the end of collapse as a function of initial filling factor: a) very low-mass cloud; b) low-mass cloud; c) intermediate-mass cloud; d) high-mass cloud. Mixed pebbles with different dust-to-ice ratios are shown: 0.5 (blue, ice-dominated), 1.0 (yellow), 3.0 (green, equal amount of dust and ice), 5.0 (red), 7.0 (violet), and 10 (brown, dust-dominated). Along the black solid line, the final filling factor equals the initial filling factor. The error bar indicate the standard deviation of the pebble ensemble. As for pure silica or ice pebbles, compression increases with increasing cloud mass. Furthermore, compression increases with increasing dust-to-ice ratio. Pebbles with low dust-to-ice ratios behave like ice pebbles, while pebbles with high dust-to-ice ratios behave more like silica pebbles.
Current usage metrics show cumulative count of Article Views (full-text article views including HTML views, PDF and ePub downloads, according to the available data) and Abstracts Views on Vision4Press platform.
Data correspond to usage on the plateform after 2015. The current usage metrics is available 48-96 hours after online publication and is updated daily on week days.
Initial download of the metrics may take a while.