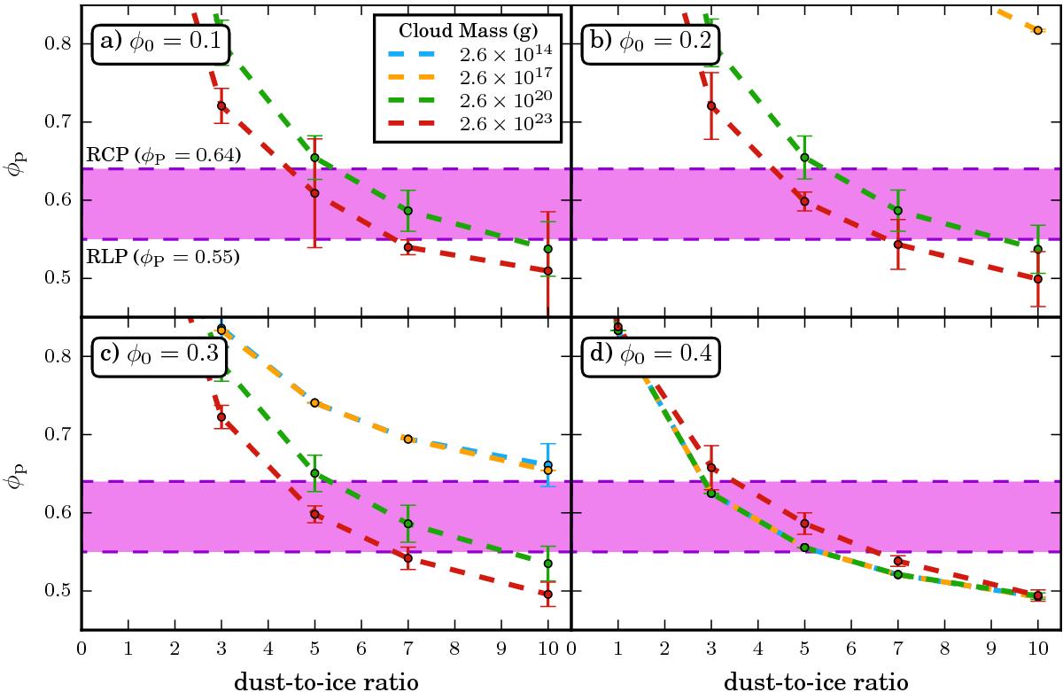
Fig. 5

Packing fraction of pebbles as a function of the dust-to-ice ratio. The four panels correspond to different initial filling factors for the pebbles: a) of φ0 = 0.1; b) φ0 = 0.2; c) φ0 = 0.3; and d) φ0 = 0.4. Each panel shows the results for the four different cloud masses as solid curves: very low-mass (blue); low-mass (yellow); intermediate-mass (green); and high-mass (red). In panels a) and b), the curves for the very low- and low-mass clouds are outside the plotting range, because the packing fraction becomes unphysically high (φP ≳ 1). In panel d), the green, blue, and yellow curves are overlapping because pebbles are barely compressed in these cases and thus have the same filling factor (see Fig. 4). The shaded area (violet) indicates the range of φP given by the random loose packing (RLP, φP = 0.55) and the random close packing (RCP, φP = 0.64). The error bars show the uncertainty of φP, based on the uncertainty of the volume-filling factor of the pebbles. Initial conditions, i.e. dust-to-ice ratio and cloud mass, which are consistent with a cometary bulk density of ρc = 0.5 g cm-3, result in a value for φP within the shaded area. Very low- and low mass clouds require initially compact pebbles (φ0 = 0.4) and dust-to-ice ratios 3 ≲ ξ ≲ 7, whereas intermediate- and high-mass clouds need 3 ≲ ξ ≲ 9, regardless of initial filling factor.
Current usage metrics show cumulative count of Article Views (full-text article views including HTML views, PDF and ePub downloads, according to the available data) and Abstracts Views on Vision4Press platform.
Data correspond to usage on the plateform after 2015. The current usage metrics is available 48-96 hours after online publication and is updated daily on week days.
Initial download of the metrics may take a while.