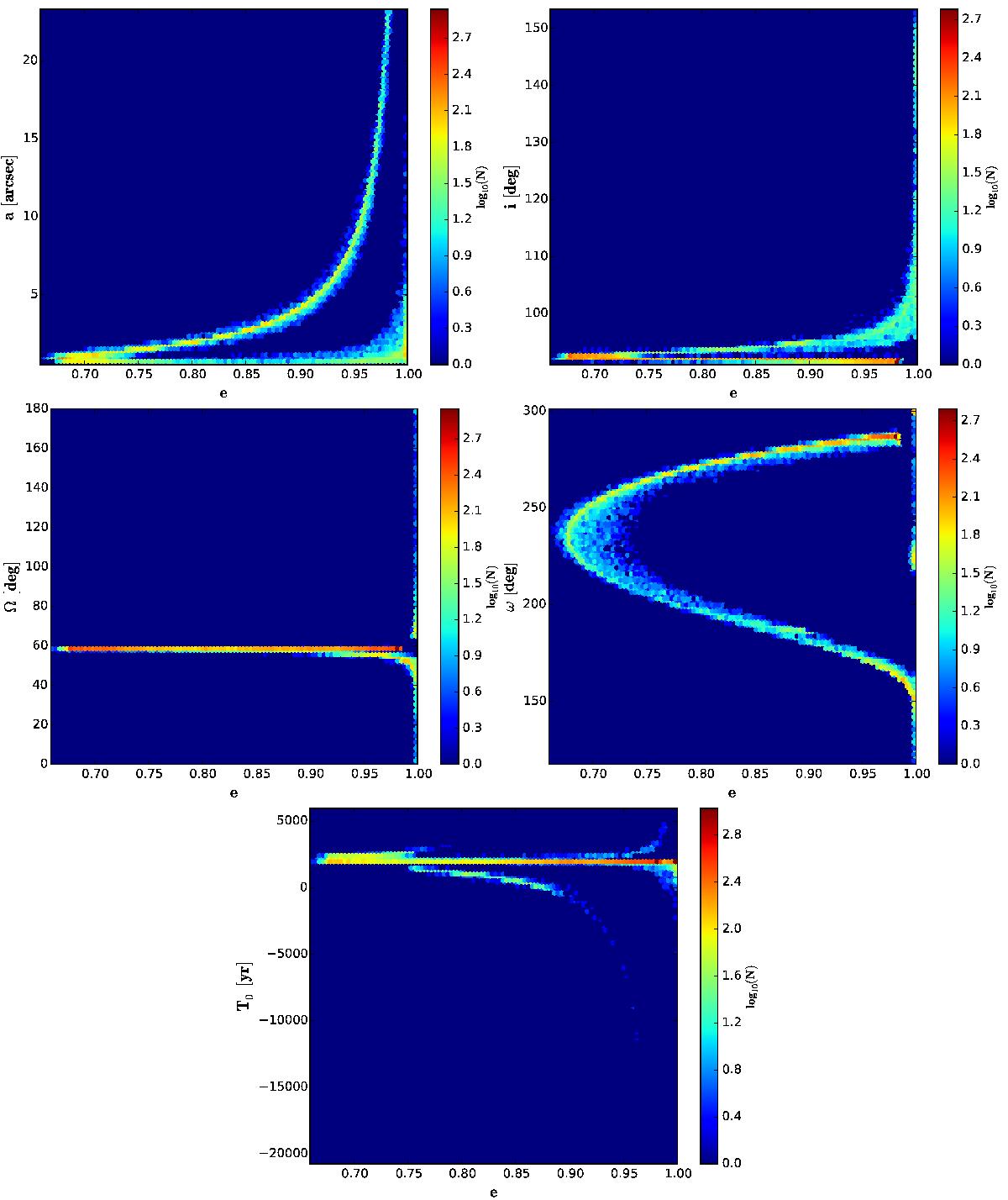
Fig. 19

Orbital elements as function of eccentricity for all solutions with out of 5 000 000 runs of our LSMC fit of the PZ Tel B astrometric data. From left to right and from top to bottom are represented the semi-major axis, inclination, longitude of the ascending node, argument of periastron, and time at periastron passage. Logarithmic density of solutions is indicated by color.
Current usage metrics show cumulative count of Article Views (full-text article views including HTML views, PDF and ePub downloads, according to the available data) and Abstracts Views on Vision4Press platform.
Data correspond to usage on the plateform after 2015. The current usage metrics is available 48-96 hours after online publication and is updated daily on week days.
Initial download of the metrics may take a while.