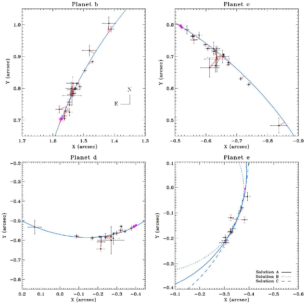
Fig. 5

Relative astrometry for the planets around HR 8799. The points available from the literature are represented with black filled circles, while new SPHERE measurements are represented with purple filled squares. The solid blue lines represent the orbital solution labeled A in Table 7. Red lines connect the predicted and observed positions for all the data points. The dotted and dashed lines in the panel for HR 8799 e indicate the orbital solutions labeled B and C in Table 5, respectively.
Current usage metrics show cumulative count of Article Views (full-text article views including HTML views, PDF and ePub downloads, according to the available data) and Abstracts Views on Vision4Press platform.
Data correspond to usage on the plateform after 2015. The current usage metrics is available 48-96 hours after online publication and is updated daily on week days.
Initial download of the metrics may take a while.