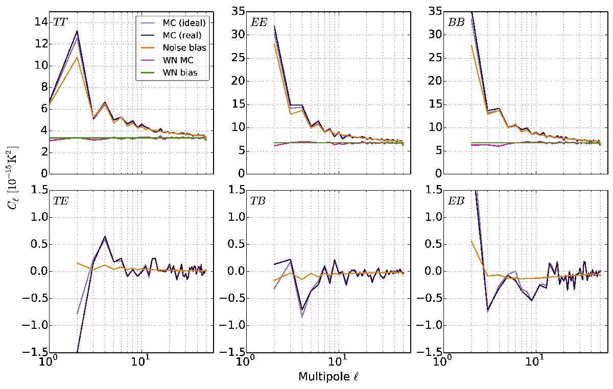
Fig. 15

70 GHz noise bias compared against MC simulations. We compare the noise bias from the full NCVM (orange) against ideal (light blue) and realistic (dark blue) simulations. For the auto spectra we show also the white noise bias (red) and corresponding MC simulations (green). The MC spectra are averaged over 100 noise realizations.
Current usage metrics show cumulative count of Article Views (full-text article views including HTML views, PDF and ePub downloads, according to the available data) and Abstracts Views on Vision4Press platform.
Data correspond to usage on the plateform after 2015. The current usage metrics is available 48-96 hours after online publication and is updated daily on week days.
Initial download of the metrics may take a while.