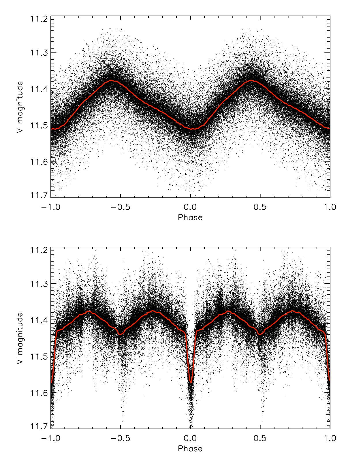
Fig. 3

The SuperWASP data of 1SWASP J050634.16–353648.4, folded at the pulsation period of 1.78396567 h (top) and the binary orbital period of 5.104238 d (bottom). In each case, the mean-binned light curve folded at the other period has been removed from the data. Phase zero corresponds to the minimum of the pulse in the upper panel and the primary eclipse in the lower panel; the red solid line shows the binned profile in each case.
Current usage metrics show cumulative count of Article Views (full-text article views including HTML views, PDF and ePub downloads, according to the available data) and Abstracts Views on Vision4Press platform.
Data correspond to usage on the plateform after 2015. The current usage metrics is available 48-96 hours after online publication and is updated daily on week days.
Initial download of the metrics may take a while.