Free Access
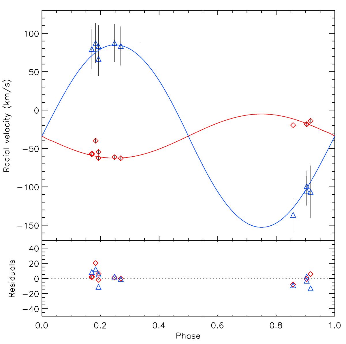
Fig. 7

Radial velocity curves of the two components of 1SWASP J050634.16–353648.4. The best-fitting model from phoebe is over-plotted showing the motion of the primary (red) and secondary (blue). Lower panel: residuals between the fit and the data, revealing no systematic trends.
Current usage metrics show cumulative count of Article Views (full-text article views including HTML views, PDF and ePub downloads, according to the available data) and Abstracts Views on Vision4Press platform.
Data correspond to usage on the plateform after 2015. The current usage metrics is available 48-96 hours after online publication and is updated daily on week days.
Initial download of the metrics may take a while.