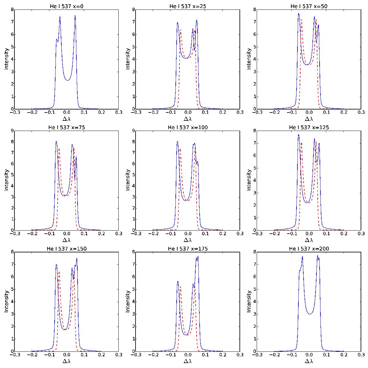
Fig. A.5

Asymmetrical line profiles of He i 537 Å line at nine positions across the 201-point field of view. The blue line shows the cumulative profile from ten unaligned threads with randomly generated velocities. The dashed red line shows the profile of a singular, stationary thread. The intensity is given in 102 erg s-1 cm-2 sr-1 Å-1. The horizontal axis gives the distance from line centre Δλ in Å.
Current usage metrics show cumulative count of Article Views (full-text article views including HTML views, PDF and ePub downloads, according to the available data) and Abstracts Views on Vision4Press platform.
Data correspond to usage on the plateform after 2015. The current usage metrics is available 48-96 hours after online publication and is updated daily on week days.
Initial download of the metrics may take a while.