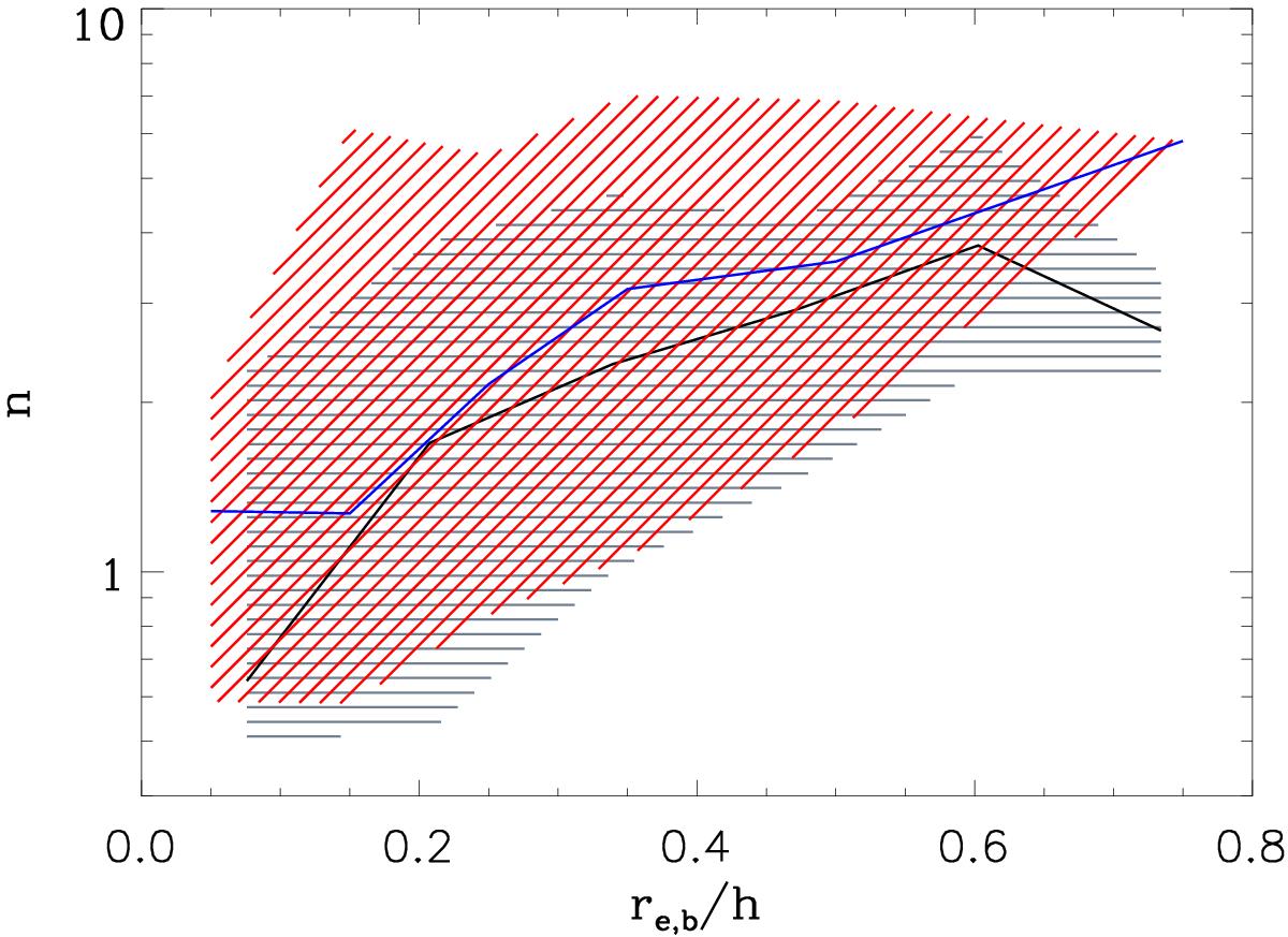
Fig. 4

Distribution of bright/massive galaxies in the rb,e/h–n plane. The shaded areas represent the locus of 95% of the galaxies from: galaxies with M> 1010M⊙ from Salo et al. (2015) (red shaded region) and bright galaxies used in the present study (grey shaded region). The blue and black full lines represent the position of 50% of the galaxies in the Salo et al. (2015) and the bright galaxies of the present study, respectively.
Current usage metrics show cumulative count of Article Views (full-text article views including HTML views, PDF and ePub downloads, according to the available data) and Abstracts Views on Vision4Press platform.
Data correspond to usage on the plateform after 2015. The current usage metrics is available 48-96 hours after online publication and is updated daily on week days.
Initial download of the metrics may take a while.