Fig. 4

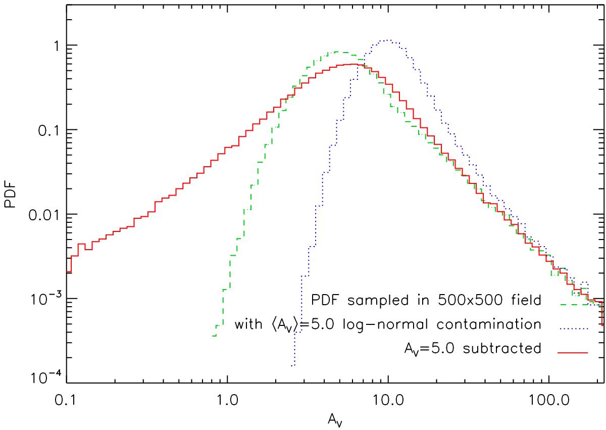
Original PDF of a model cloud (see text) with a lognormal core and a power-law tail is shown with a green dashed line. This cloud is “contaminated” with a model cloud that has a lognormal core. The resulting PDF is shown as a blue dashed line. The red line then displays the “corrected” PDF if a constant value of Av = 5 is removed.
Current usage metrics show cumulative count of Article Views (full-text article views including HTML views, PDF and ePub downloads, according to the available data) and Abstracts Views on Vision4Press platform.
Data correspond to usage on the plateform after 2015. The current usage metrics is available 48-96 hours after online publication and is updated daily on week days.
Initial download of the metrics may take a while.