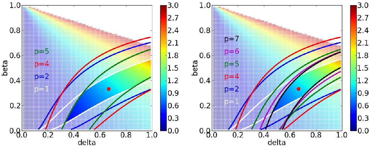
Fig. 3

Part of β-Δ-plane (color coded in co-dimension C = Δ/(1 − β), 0 <C< 3) within joint reach of (at most) 5% perturbed Zp, starting from Zp for Δ = 2/3 and β = 1/3 (red dot). Left panel: curves of 5% perturbed Zp values for p = 1 (white), p = 2 (blue), p = 4 (red), and p = 5 (green) and part of the β-Δ-plane enclosed by all of them. Right panel: same as left panel but also including p = 6 (purple) and p = 7 (black).
Current usage metrics show cumulative count of Article Views (full-text article views including HTML views, PDF and ePub downloads, according to the available data) and Abstracts Views on Vision4Press platform.
Data correspond to usage on the plateform after 2015. The current usage metrics is available 48-96 hours after online publication and is updated daily on week days.
Initial download of the metrics may take a while.