Highlight
Free Access

Fig. 10

image

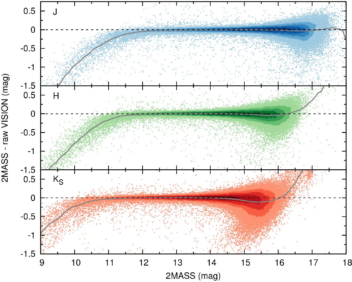
2MASS vs. VISTA photometry. Clearly residual nonlinearity and saturation effects have an impact on the bright end of the measured magnitudes. For this reason we decided to replace VISION photometry with 2MASS photometry for sources brighter than (13,12,11.5) in , respectively. The shading indicates source density in a 0.2 × 0.05 box in this parameter space. The gray line indicates a running median with a box width of 0.5 mag, and the dotted horizontal line marks the reference value of zero mag difference between the 2MASS and VISTA catalogs.

Current usage metrics show cumulative count of Article Views (full-text article views including HTML views, PDF and ePub downloads, according to the available data) and Abstracts Views on Vision4Press platform.

Data correspond to usage on the plateform after 2015. The current usage metrics is available 48-96 hours after online publication and is updated daily on week days.

Initial download of the metrics may take a while.