Free Access
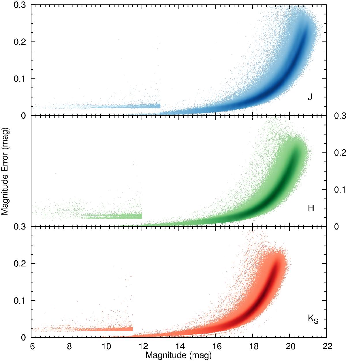
Fig. A.2

Magnitudes and their associated errors in our survey. The discontinuity at the bright end is due to the replacement with 2MASS measurements. The shading indicates source density in a 0.1 × 0.02 mag box in this parameter space.
Current usage metrics show cumulative count of Article Views (full-text article views including HTML views, PDF and ePub downloads, according to the available data) and Abstracts Views on Vision4Press platform.
Data correspond to usage on the plateform after 2015. The current usage metrics is available 48-96 hours after online publication and is updated daily on week days.
Initial download of the metrics may take a while.