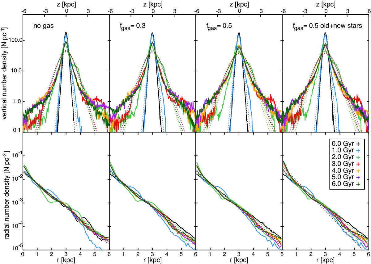
Fig. 13

Vertical (top panels) and radial (bottom panels) density profiles (solid lines) during the merger simulations with intervals of 1 Gyr for the FNX-like system: fully collissionless (left), with fgas = 0.3 and fgas = 0.5 (middle), and with fgas = 0.5 including the newly formed stars (right). The dotted lines show the maximum likelyhood fitted profiles: isothermal (sech2) and exponential in the top and bottom panels, respectively.
Current usage metrics show cumulative count of Article Views (full-text article views including HTML views, PDF and ePub downloads, according to the available data) and Abstracts Views on Vision4Press platform.
Data correspond to usage on the plateform after 2015. The current usage metrics is available 48-96 hours after online publication and is updated daily on week days.
Initial download of the metrics may take a while.