Free Access
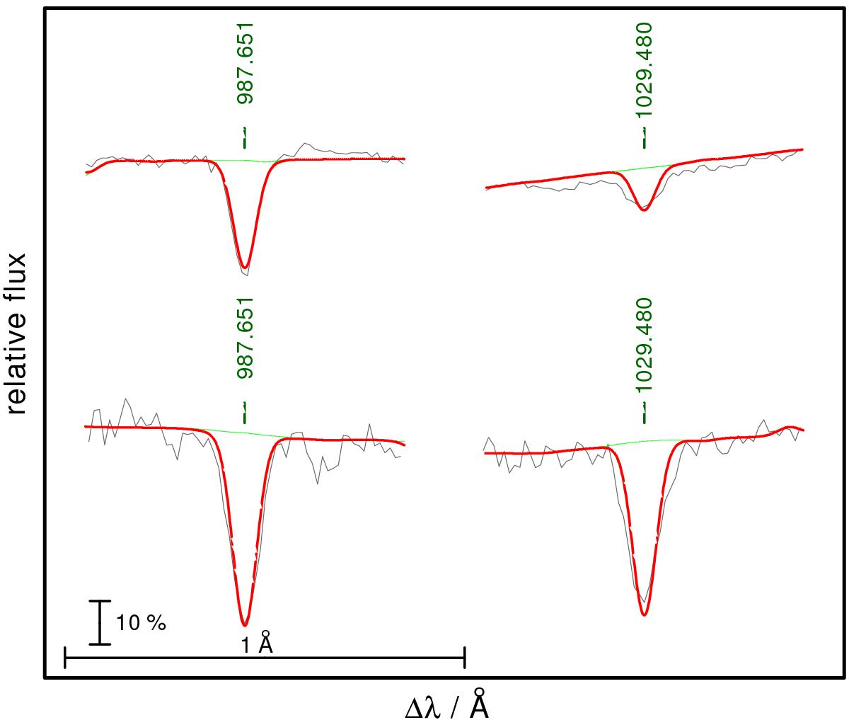
Fig. 5

Sections of our FUSE observations of G191−B2B (top row) and RE 0503−289 (bottom row) around As vλ 987.65 Å (left column) and As vλ 1029.48 Å (right column). The thick red and thin green lines show a comparison with theoretical spectra of two models, with and without As, respectively.
Current usage metrics show cumulative count of Article Views (full-text article views including HTML views, PDF and ePub downloads, according to the available data) and Abstracts Views on Vision4Press platform.
Data correspond to usage on the plateform after 2015. The current usage metrics is available 48-96 hours after online publication and is updated daily on week days.
Initial download of the metrics may take a while.