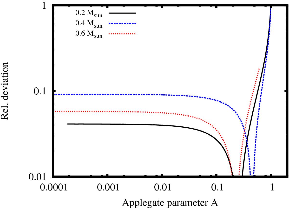
Fig. 1

Relative difference between the two-zone model described in Sect. 3.4 with the full model considering a realistic stellar density profile as outlined in Sect. 4.1. The model assumes a white dwarf mass of 0.5M⊙ and an age of the secondary of 5 Gyr. We employ λ = 0.0096 and ξ = 4/3 as parameters in the two-zone model. The relative deviation of the results is shown as a function of the Applegate parameter A and for different secondary masses. A good approximation requires A ≲ 0.5.
Current usage metrics show cumulative count of Article Views (full-text article views including HTML views, PDF and ePub downloads, according to the available data) and Abstracts Views on Vision4Press platform.
Data correspond to usage on the plateform after 2015. The current usage metrics is available 48-96 hours after online publication and is updated daily on week days.
Initial download of the metrics may take a while.