Free Access

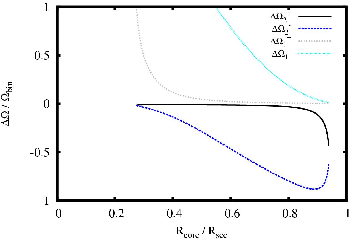
Fig. 3

image

Angular velocity change normalized by the angular velocity of the binary both in the core (ΔΩ1) and shell (ΔΩ2) for our reference system NN Ser as a function of the size of the core. For both quantities, there are two solutions, denoted with + and –. The calculation is based on the full numerical model described in Sect. 4.1.

Current usage metrics show cumulative count of Article Views (full-text article views including HTML views, PDF and ePub downloads, according to the available data) and Abstracts Views on Vision4Press platform.

Data correspond to usage on the plateform after 2015. The current usage metrics is available 48-96 hours after online publication and is updated daily on week days.

Initial download of the metrics may take a while.