Free Access
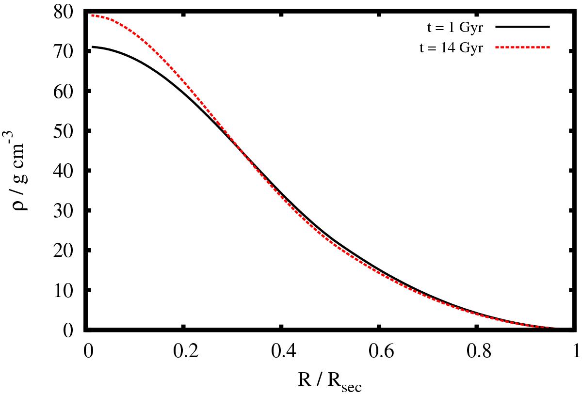
Fig. 5

Density profile of a red dwarf with 0.1M⊙ for a lifetime of 1 Gyr and 14 Gyr. The variation in the core density as a result of the different lifetimes corresponds to only about 10%. The calculation assumes a solar metallicity.
Current usage metrics show cumulative count of Article Views (full-text article views including HTML views, PDF and ePub downloads, according to the available data) and Abstracts Views on Vision4Press platform.
Data correspond to usage on the plateform after 2015. The current usage metrics is available 48-96 hours after online publication and is updated daily on week days.
Initial download of the metrics may take a while.