Free Access
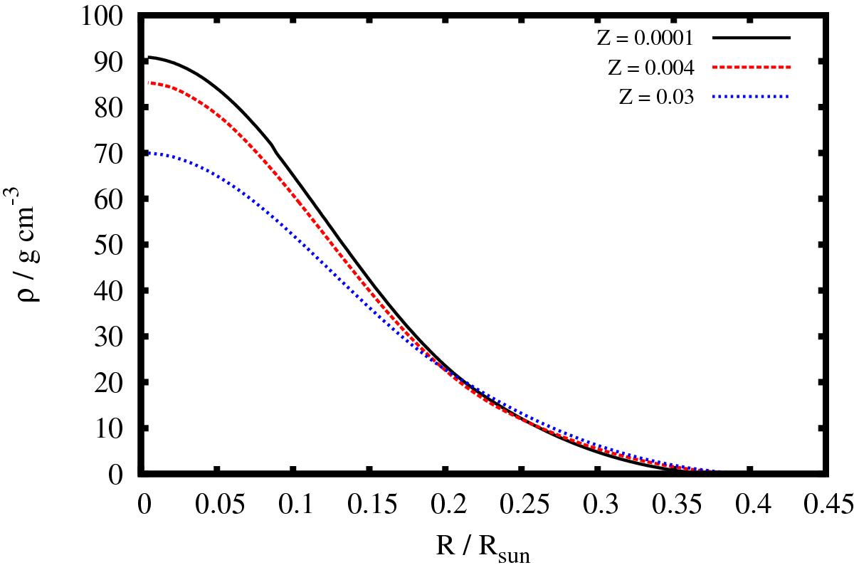
Fig. 6

Density profile of a red dwarf with 0.1M⊙ for metallicities between 10-4 and 3 × 10-2. The maximum variation in the core density corresponds to about 20%. The calculation assumes a generic age of 5 Gyr.
Current usage metrics show cumulative count of Article Views (full-text article views including HTML views, PDF and ePub downloads, according to the available data) and Abstracts Views on Vision4Press platform.
Data correspond to usage on the plateform after 2015. The current usage metrics is available 48-96 hours after online publication and is updated daily on week days.
Initial download of the metrics may take a while.