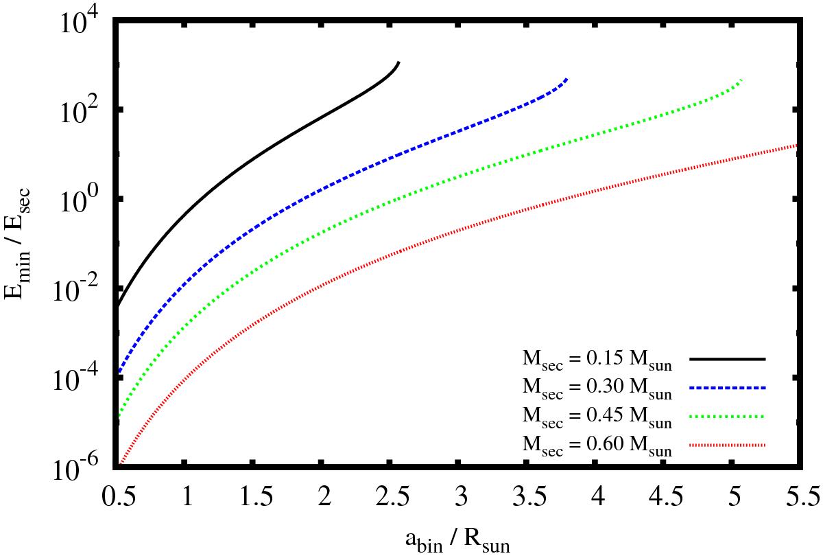
Fig. 7

Relative Applegate energy calculated for varying secondary masses and binary separations according to Sect. 5.1. Typical PCEBs with extremly low-mass secondarys do not provide enough energy to power the Applegate process or do not even satisfy the Applegate condition. Rather, typical Applegate systems are both relatively massive and extremely compact.
Current usage metrics show cumulative count of Article Views (full-text article views including HTML views, PDF and ePub downloads, according to the available data) and Abstracts Views on Vision4Press platform.
Data correspond to usage on the plateform after 2015. The current usage metrics is available 48-96 hours after online publication and is updated daily on week days.
Initial download of the metrics may take a while.