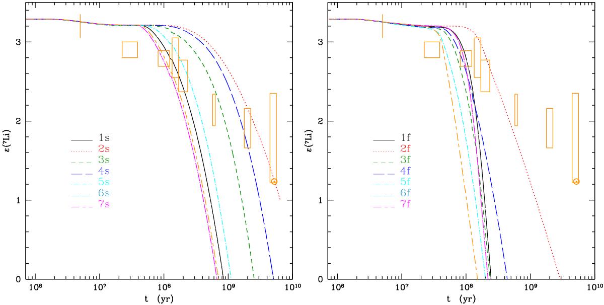
Fig. 16

Evolution of the surface lithium abundances in the slow (left) and fast (right) rotating models as a function of time. The open boxes represent the ranges of lithium abundances determined by Sestito & Randich (2005) for the following clusters and associations: NGC 2264 at 5 Myr, IC 2391/IC 2602/IC 4665 at 30 Myr, Pleiades/Blanco1 at 80 Myr, NGC 2516 at 150 Myr, M34/M35/NGC 6475 at 250 Myr, Hyades/Praesepe/Coma Ber/NGC 6633 at 600 Myr, NGC 752/NGC 3680/IC 4651 at 2 Gyr and M67 at 4.5 Gyr. The Sun is also indicated with the solar symbol ⊙.
Current usage metrics show cumulative count of Article Views (full-text article views including HTML views, PDF and ePub downloads, according to the available data) and Abstracts Views on Vision4Press platform.
Data correspond to usage on the plateform after 2015. The current usage metrics is available 48-96 hours after online publication and is updated daily on week days.
Initial download of the metrics may take a while.