Fig. 3

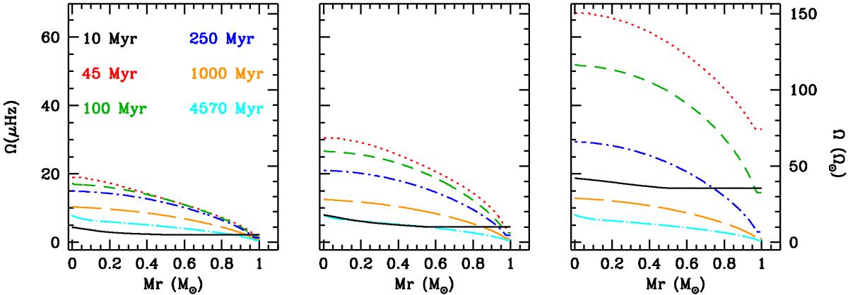
Angular velocity profile of the reference models at different epochs (solid: 10 Myr; dotted: 45 Myr; dashed: 100 Myr; dot-dashed: 250 Myr; long-dashed: 1 Gyr; long-dash-dotted: 4.57 Gyr) as a function of the relative mass fraction. The left, central, and right plots correspond to cases with slow, medium, and fast rotation (models 1s, 1m, and 1f).
Current usage metrics show cumulative count of Article Views (full-text article views including HTML views, PDF and ePub downloads, according to the available data) and Abstracts Views on Vision4Press platform.
Data correspond to usage on the plateform after 2015. The current usage metrics is available 48-96 hours after online publication and is updated daily on week days.
Initial download of the metrics may take a while.