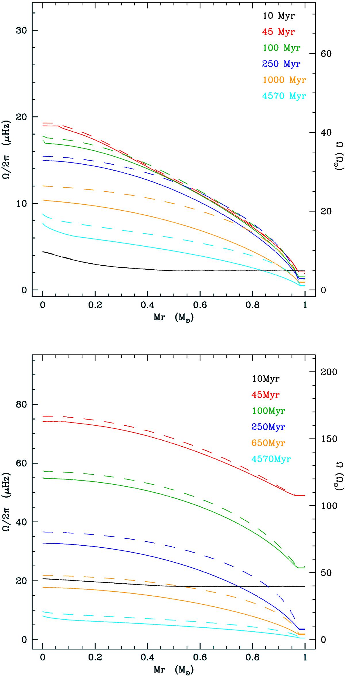
Fig. 6

Effect of modelling the vertical turbulent shear diffusion coefficient Dv on the angular velocity profiles. Same as Fig. 3 for models 2s (dashed lines) and 1s (solid lines) in the top, and for models 2f (dashed lines) and 1f (solid lines) in the bottom panels. The description of the physics used in each of these models is given in Table 3.
Current usage metrics show cumulative count of Article Views (full-text article views including HTML views, PDF and ePub downloads, according to the available data) and Abstracts Views on Vision4Press platform.
Data correspond to usage on the plateform after 2015. The current usage metrics is available 48-96 hours after online publication and is updated daily on week days.
Initial download of the metrics may take a while.