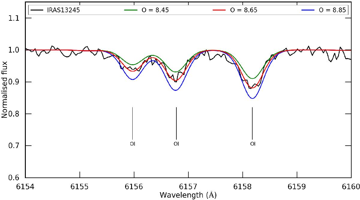
Fig. 7

Spectrum synthesis of the O I triplet at 6156 Å for IRAS 13245-5036. The black spectrum is the observed UVES spectrum, the coloured spectra represent synthetic spectra with different O abundances. The red line represents the determined O abundance; the green and blue spectra represent synthetic spectra with an O abundance of −0.2 dex and +0.2 dex, respectively.
Current usage metrics show cumulative count of Article Views (full-text article views including HTML views, PDF and ePub downloads, according to the available data) and Abstracts Views on Vision4Press platform.
Data correspond to usage on the plateform after 2015. The current usage metrics is available 48-96 hours after online publication and is updated daily on week days.
Initial download of the metrics may take a while.