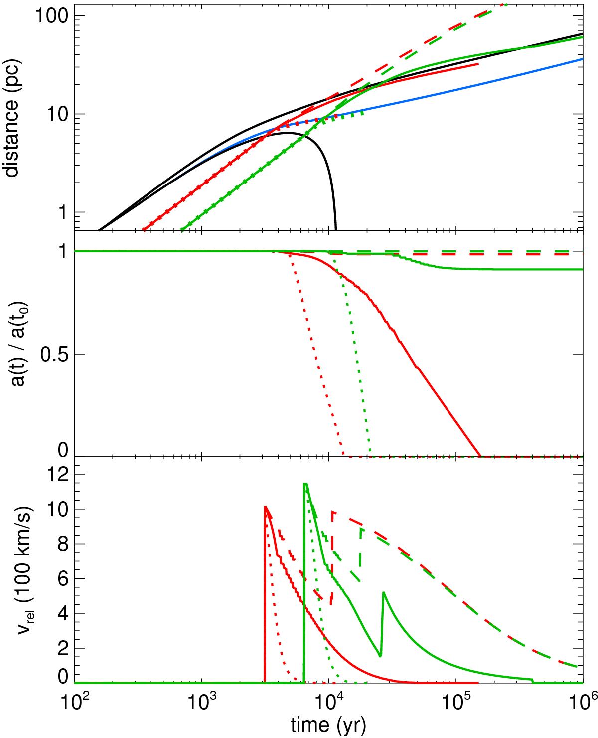
Fig. 3

Mg2SiO4 test particle trajectory, size, and velocity in the ejecta of SNR N49. Green and red lines indicate particles initially placed at one-forth and half of the radius of the ejecta, respectively. The initial size of particles is 10, 100, and 1000 nm for dotted, solid and dashed lines, respectively. In the top panel, black lines indicate the positions of forward and reverse shock, and the blue line is the boundary between the ejecta and the ISM.
Current usage metrics show cumulative count of Article Views (full-text article views including HTML views, PDF and ePub downloads, according to the available data) and Abstracts Views on Vision4Press platform.
Data correspond to usage on the plateform after 2015. The current usage metrics is available 48-96 hours after online publication and is updated daily on week days.
Initial download of the metrics may take a while.