Fig. 3

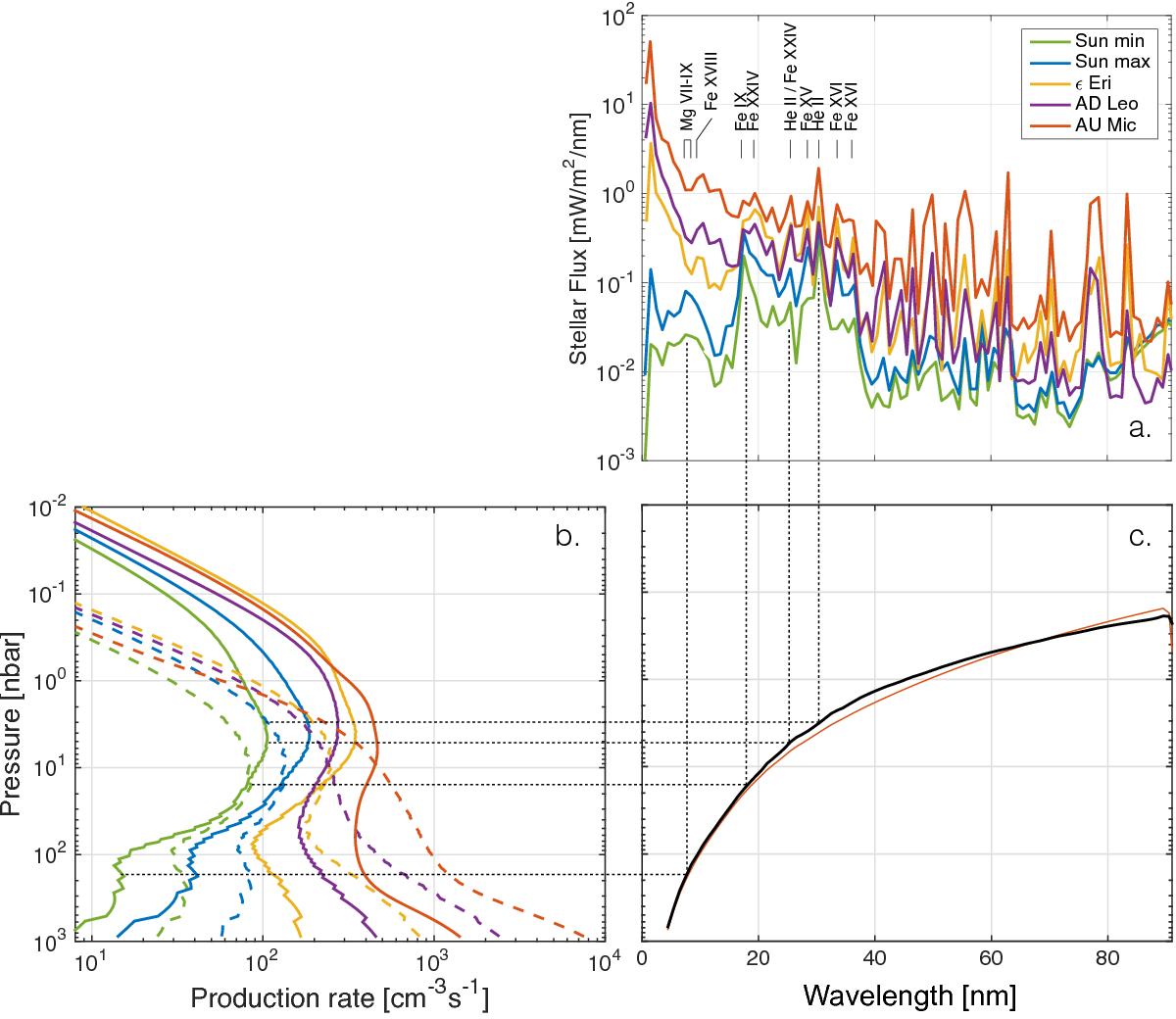
a) Stellar fluxes at 1 AU as a function of wavelength for the Sun at solar minimum (TIMED/SEE observation from 15 May 2008) in green, the Sun at solar maximum (TIMED/SEE observation from 14 January 2013) in blue, ϵ Eri (synthetic spectrum) in yellow, AD Leo (synthetic spectrum) in red, and AU Mic (synthetic spectrum) in purple. Some major lines that affect the ionospheric peak are labelled. b) Electron production rate at local noon through photo-ionisation (solid lines) and electron-impact ionisation (dashed lines) for an EPG orbiting at 1 AU from the Sun at solar minimum (green), the Sun at solar maximum (blue), ϵ Eri (yellow), AD Leo (purple), and AU Mic (red). c) Pressure for which the optical depth τ is unity at local noon, as a function of wavelength for planets orbiting the Sun, ϵ Eri, and AD Leo (think, black line) and for a planet orbiting at 1 AU from AU Mic (thin, red line).
Current usage metrics show cumulative count of Article Views (full-text article views including HTML views, PDF and ePub downloads, according to the available data) and Abstracts Views on Vision4Press platform.
Data correspond to usage on the plateform after 2015. The current usage metrics is available 48-96 hours after online publication and is updated daily on week days.
Initial download of the metrics may take a while.