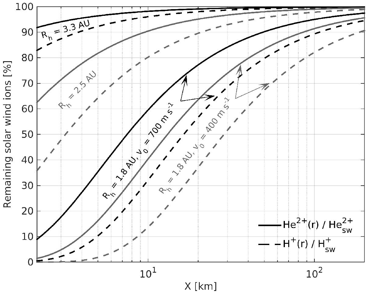
Fig. 8

Theoretical normalised remaining solar wind H+ (dashed lines) and He2+ (solid lines) particle flux ratios with respect to cometocentric distance (2 km to 200 km) along the comet-Sun (x,y = 0,z = 0) axis for several heliocentric distances (forward model). Cometary outgassing velocity was v0 = 700 m s-1, while Q values are taken from Snodgrass et al. (2013) so that Q0 = QS13. At 1.8 AU and in grey, the outgassing velocity v0 was changed from 700 to 400 m s-1. In reality, the used assumption of near-undisturbed solar wind flux tubes breaks down near the nucleus because of mass-loading effects.
Current usage metrics show cumulative count of Article Views (full-text article views including HTML views, PDF and ePub downloads, according to the available data) and Abstracts Views on Vision4Press platform.
Data correspond to usage on the plateform after 2015. The current usage metrics is available 48-96 hours after online publication and is updated daily on week days.
Initial download of the metrics may take a while.