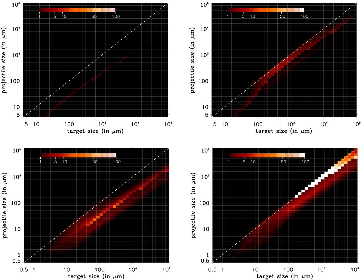
Fig. 1

Disc-integrated mean values of the ssurf/sblow ratio for all possible target-projectile pairs of sizes si and sj. Upper left panel: A-star primary and ⟨e⟩ = 0.075. Upper right: A-star primary and ⟨e⟩ = 0.01. Bottom left: solar-type primary and ⟨e⟩ = 0.075. Bottom right: solar-type primary and ⟨e⟩ = 0.01. The dashed white line delineates the si = sj diagonal of equal-sized impactors.
Current usage metrics show cumulative count of Article Views (full-text article views including HTML views, PDF and ePub downloads, according to the available data) and Abstracts Views on Vision4Press platform.
Data correspond to usage on the plateform after 2015. The current usage metrics is available 48-96 hours after online publication and is updated daily on week days.
Initial download of the metrics may take a while.