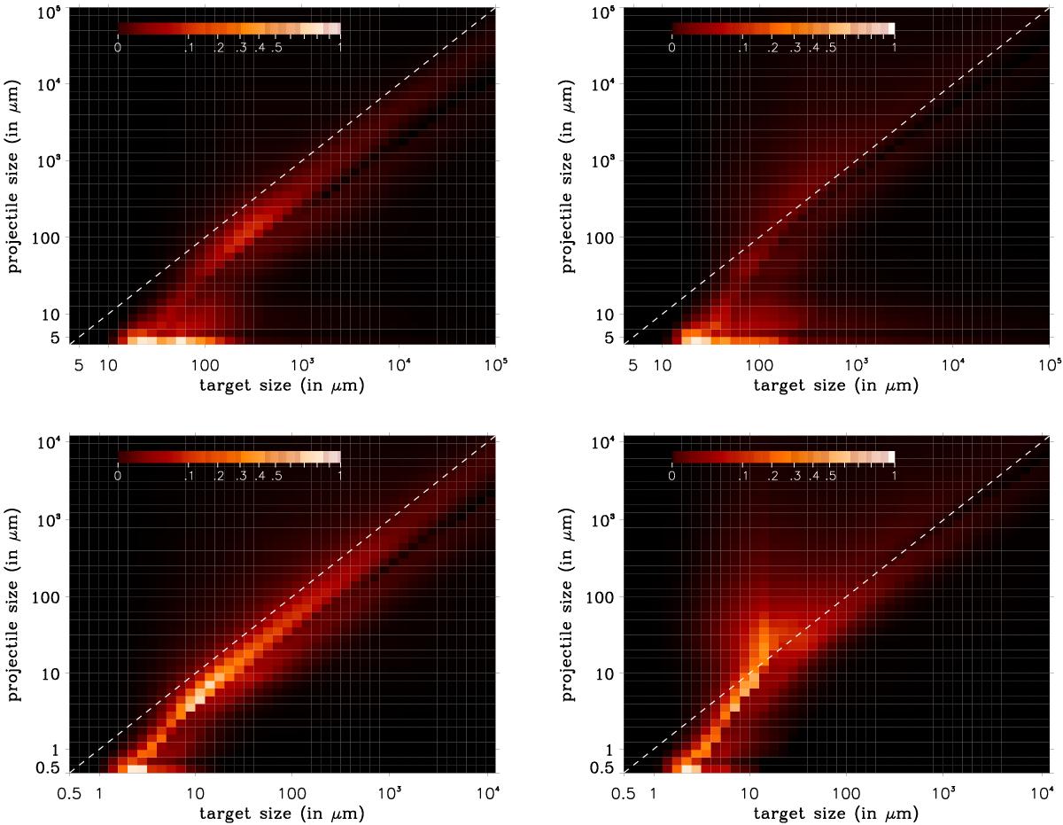
Fig. 2

Disc-integrated and normalized production rates of s ≤ 10 μm dust as a function of target and projectile sizes. These maps are estimated, at collisional steady-state, for the “control runs” where the ssurf criteria is turned off. This allows for an easy comparison with Fig. 1 by directly showing which high ssurf(i,j) regions will have a significant damping effect on the small-dust production rate. Upper left panel: A-star primary and ⟨e⟩ = 0.075. Upper right: A-star primary and ⟨e⟩ = 0.01. Bottom left: solar-type primary and ⟨e⟩ = 0.075. Bottom right: solar-type primary and ⟨e⟩ = 0.01.
Current usage metrics show cumulative count of Article Views (full-text article views including HTML views, PDF and ePub downloads, according to the available data) and Abstracts Views on Vision4Press platform.
Data correspond to usage on the plateform after 2015. The current usage metrics is available 48-96 hours after online publication and is updated daily on week days.
Initial download of the metrics may take a while.