Fig. 3

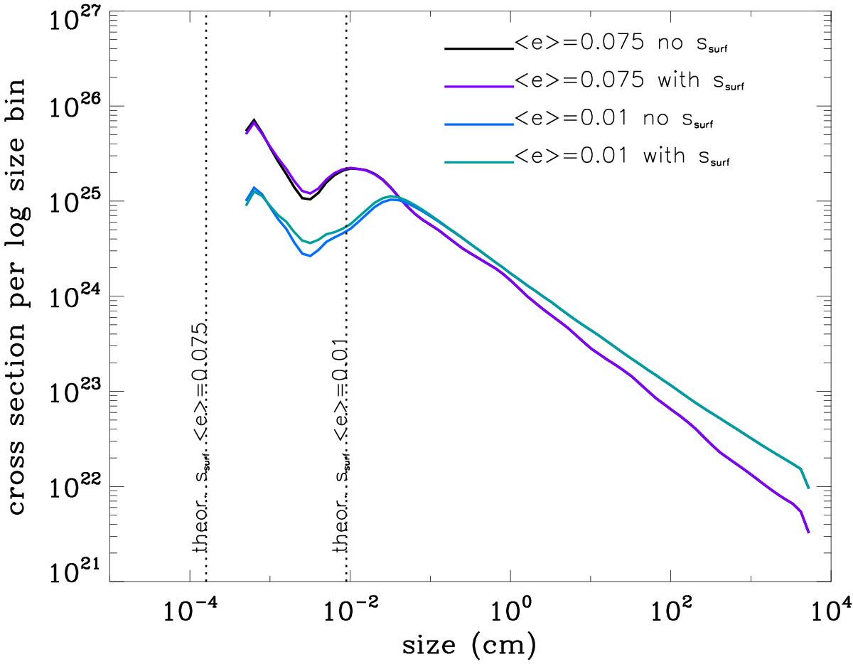
A-star case. Geometrical cross-section as a function of particle size, at t = 107 yr, integrated over the whole 50−100 au disc, for both the dynamically “hot” (⟨e⟩ = 0.075) and “cold” (⟨e⟩ = 0.01) cases. For each case, a reference run with the ssurf constraint switched-off is also presented. The two vertical dotted lines represent the analytical values given by Eq. (2).
Current usage metrics show cumulative count of Article Views (full-text article views including HTML views, PDF and ePub downloads, according to the available data) and Abstracts Views on Vision4Press platform.
Data correspond to usage on the plateform after 2015. The current usage metrics is available 48-96 hours after online publication and is updated daily on week days.
Initial download of the metrics may take a while.