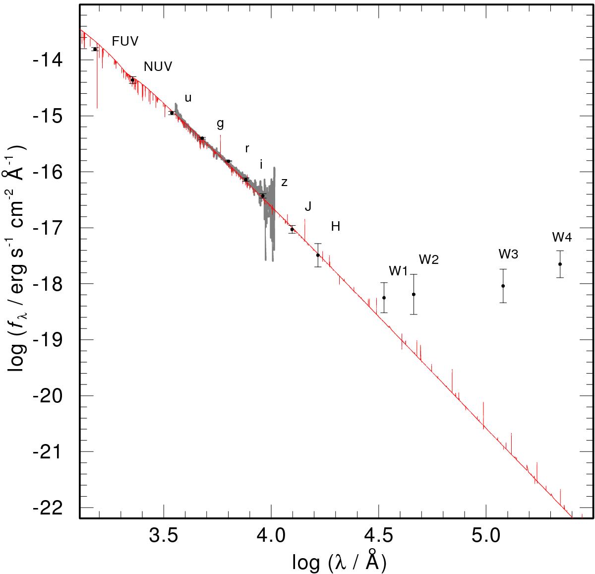
Fig. 6

Colors (black dots with 3 σ error bars) and the SDSS spectrum (gray) of the PG 1159 star J1556 (gray), compared with a reddened TMAP model SED (red). The emission lines are of photospheric origin. Note that the mismatch of the reddened model flux and the GALEX FUV measurement is due to missing metal opacities in our model atmosphere.
Current usage metrics show cumulative count of Article Views (full-text article views including HTML views, PDF and ePub downloads, according to the available data) and Abstracts Views on Vision4Press platform.
Data correspond to usage on the plateform after 2015. The current usage metrics is available 48-96 hours after online publication and is updated daily on week days.
Initial download of the metrics may take a while.