Free Access
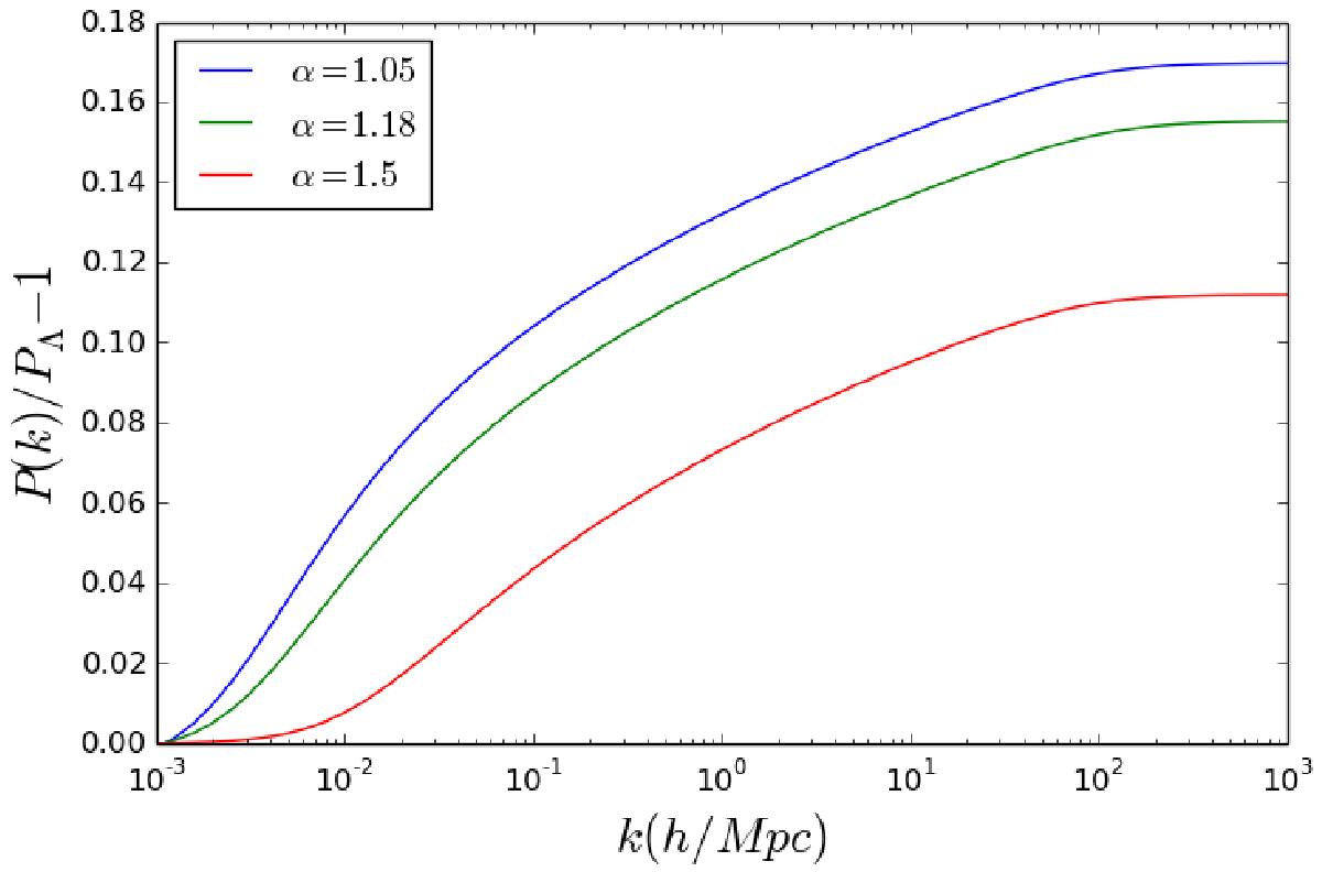
Fig. 2

Fractional difference in the matter power spectrum with respect to ΛCDM for different values of n and α, as indicated in Table 1. These results are used to compare with the nonlinear power spectrum from our numerical simulations.
Current usage metrics show cumulative count of Article Views (full-text article views including HTML views, PDF and ePub downloads, according to the available data) and Abstracts Views on Vision4Press platform.
Data correspond to usage on the plateform after 2015. The current usage metrics is available 48-96 hours after online publication and is updated daily on week days.
Initial download of the metrics may take a while.