Free Access
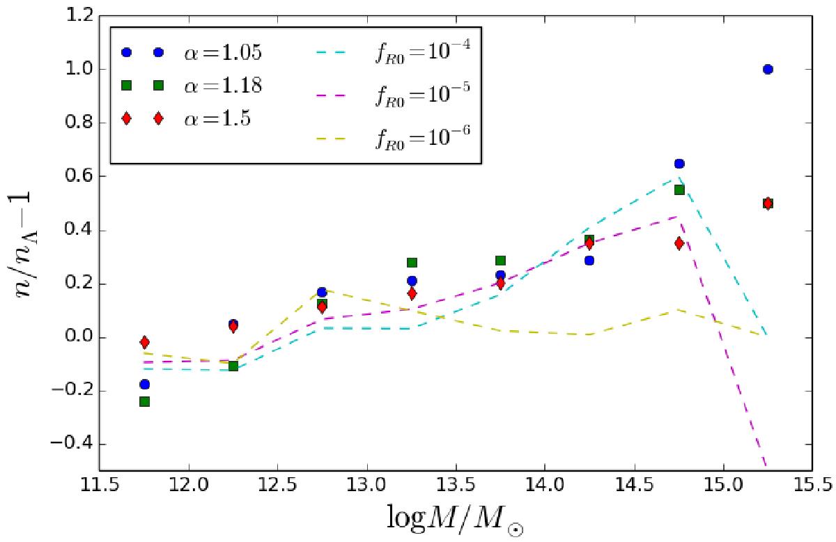
Fig. 5

Fractional difference of the halo mass function for γ gravity (data points) with respect to the ΛCDM model. For comparison we also show the results from simulations with the Hu-Sawicky f(R) model with | fR0 | = { 10-4,10-5,10-6 } (dashed lines) from Llinares et al. (2014).
Current usage metrics show cumulative count of Article Views (full-text article views including HTML views, PDF and ePub downloads, according to the available data) and Abstracts Views on Vision4Press platform.
Data correspond to usage on the plateform after 2015. The current usage metrics is available 48-96 hours after online publication and is updated daily on week days.
Initial download of the metrics may take a while.