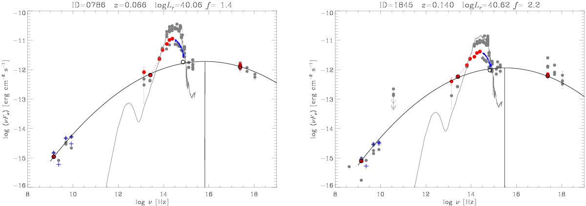
Fig. 2

Examples of the SED of two LPBLs, namely ID=786 and ID=1845. We show data analyzed by us (colored symbols) as well as data downloaded from the ASDC (grey dots); see Fig. A.1 for a full description. The near-IR, optical, and X-ray data have been corrected for Galactic absorption. We overplot the logarithmic parabolic fit through the data points at 1.4 GHz, 12 μm, rest-frame 3900 Å, and 1 keV (black empty circles), where the infrared and optical fluxes have been corrected for the host galaxy contribution. The grey line represents an elliptical galaxy template normalized to the W2 flux density.
Current usage metrics show cumulative count of Article Views (full-text article views including HTML views, PDF and ePub downloads, according to the available data) and Abstracts Views on Vision4Press platform.
Data correspond to usage on the plateform after 2015. The current usage metrics is available 48-96 hours after online publication and is updated daily on week days.
Initial download of the metrics may take a while.