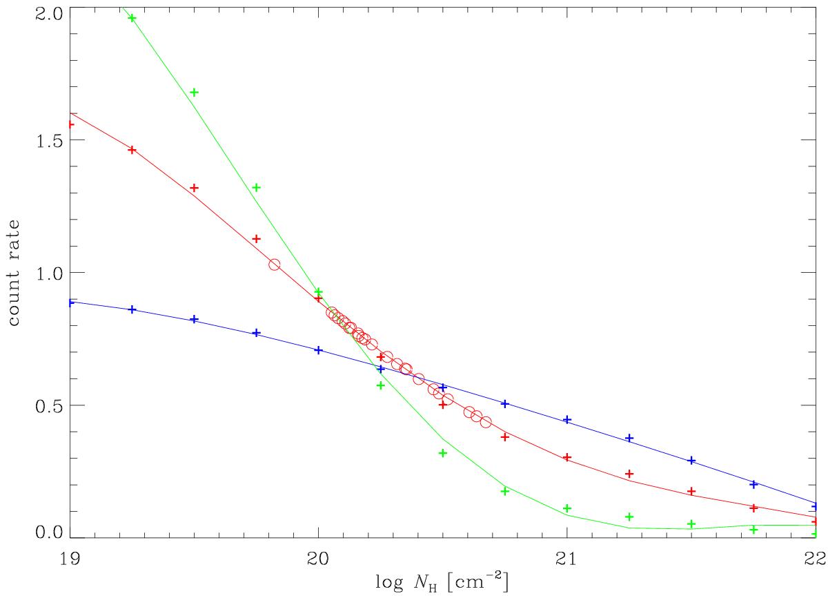
Fig. 3

ROSAT count rate corresponding to an unabsorbed flux of 10-11 erg cm-2 s-1 versus the Galactic hydrogen column density NH for the three values of the X-ray photon spectral index Γx = 1 (blue), 2 (red), and 3 (green). Plus signs indicate the values derived with WebPIMMS, and solid curves represent polynomial fits through them. Open circles correspond to the NH values of our LPBLs.
Current usage metrics show cumulative count of Article Views (full-text article views including HTML views, PDF and ePub downloads, according to the available data) and Abstracts Views on Vision4Press platform.
Data correspond to usage on the plateform after 2015. The current usage metrics is available 48-96 hours after online publication and is updated daily on week days.
Initial download of the metrics may take a while.