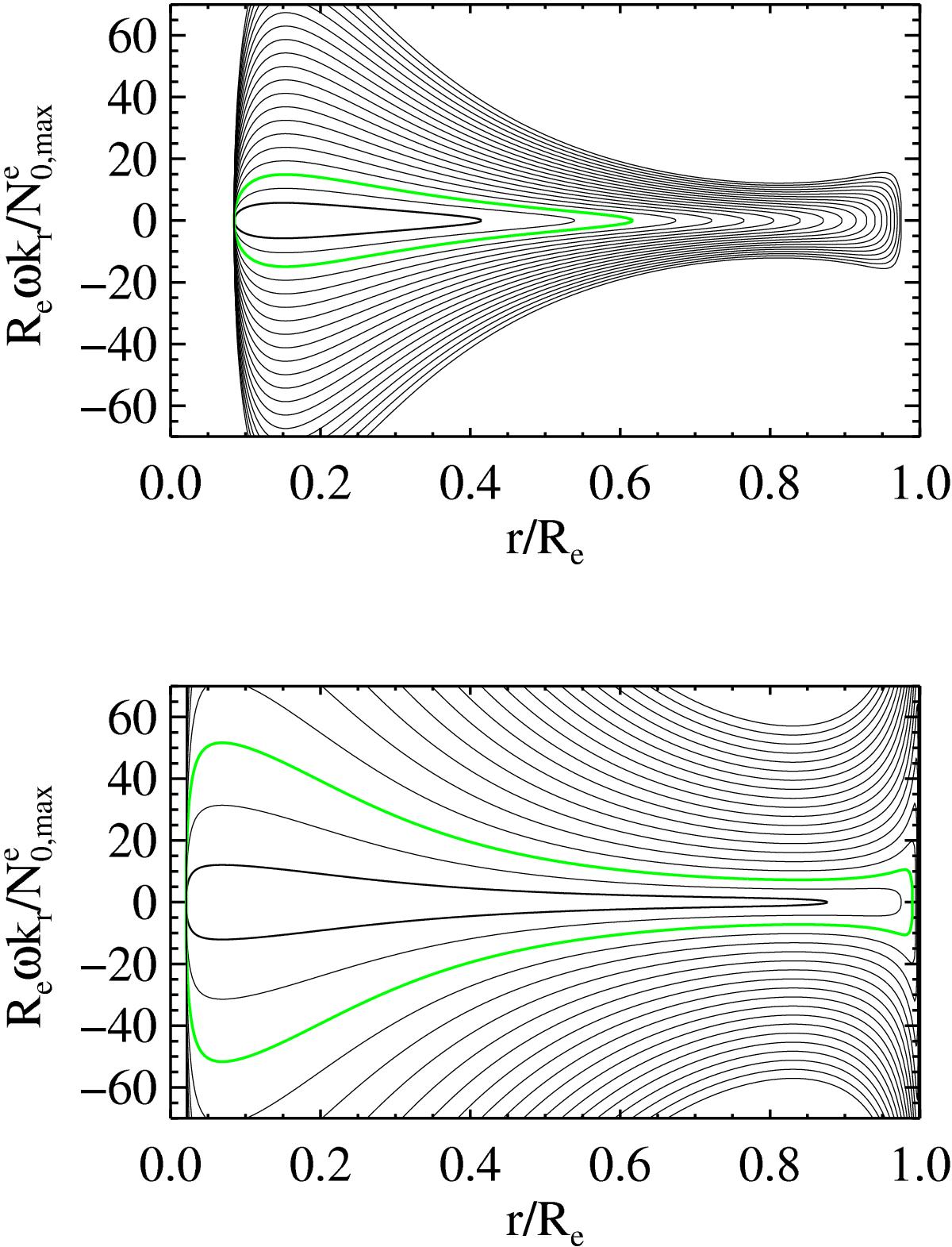
Fig. 5

Two PSS at ω/f = [ 2.21,0.567 ] of the ray dynamics in the traditional approximation in a spherical star rotating at Ω = 0.38ΩK. The fλ,ω(kr,r) = 0 curves shown are the imprint on the PSS of the invariant tori of the integrable dynamics. They are drawn for the quantised values of λ(ℓ,ω/f), where ℓ is the degree of the spherical harmonics of the corresponding mode at Ω = 0 and is varied from 1 to 30. The increase of the gap between the fλ,ω(kr,r) = 0 curves as ω decreases is due to the increase of λ with f/ω. Tori in green correspond to gravito-inertial modes labelled by their quantum numbers at zero rotation, that is the (n,ℓ) = (3,3) mode (top) and the (n,ℓ) = (50,3) mode (bottom).
Current usage metrics show cumulative count of Article Views (full-text article views including HTML views, PDF and ePub downloads, according to the available data) and Abstracts Views on Vision4Press platform.
Data correspond to usage on the plateform after 2015. The current usage metrics is available 48-96 hours after online publication and is updated daily on week days.
Initial download of the metrics may take a while.