Free Access
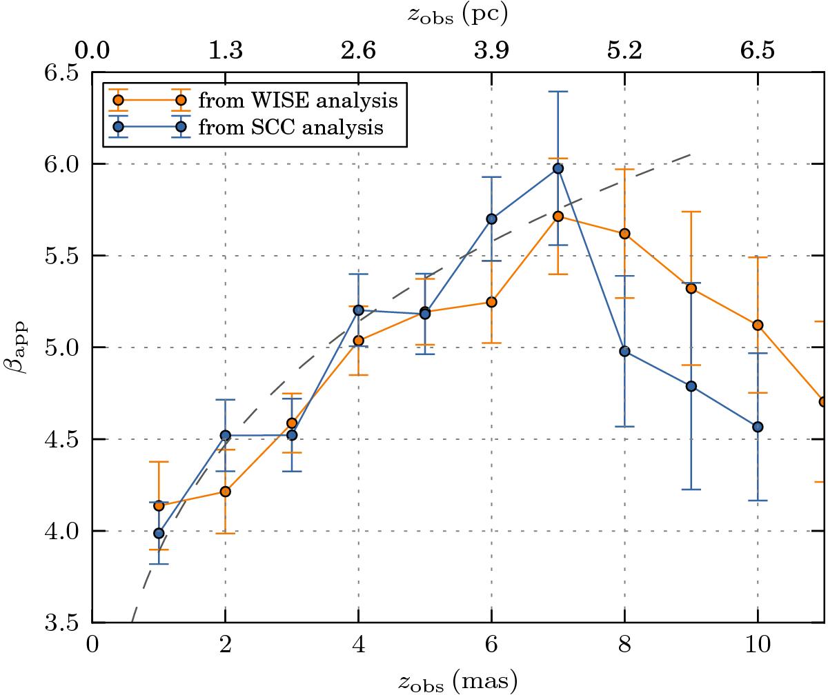
Fig. 5

SCC analysis of the jet in 3C 120. The lack of transverse resolution in the MOJAVE images only warrants probing the longitudinal velocity distribution. Significant acceleration is detected up to a distance from the core of 7 mas, which is comparable to the acceleration detected from WISE analysis of the source.
Current usage metrics show cumulative count of Article Views (full-text article views including HTML views, PDF and ePub downloads, according to the available data) and Abstracts Views on Vision4Press platform.
Data correspond to usage on the plateform after 2015. The current usage metrics is available 48-96 hours after online publication and is updated daily on week days.
Initial download of the metrics may take a while.