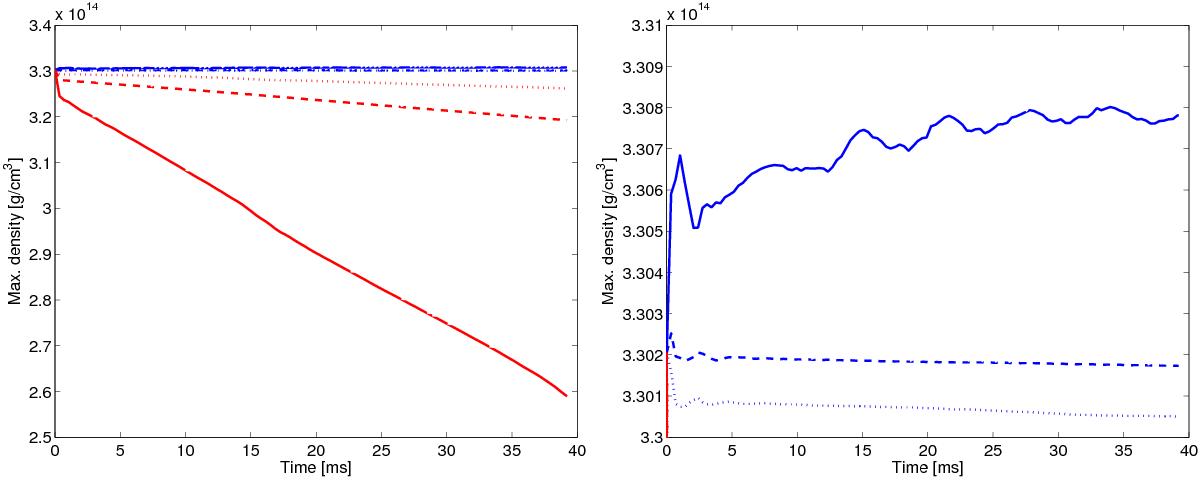
Fig. 12

Maximum density as a function of time for resolutions Δx = Δy = Δz = 2,1,0.5 km represented by the solid, dashed and dotted lines, respectively. The blue lines have been obtained with the well-balanced scheme, while the red ones with the standard scheme. The right panel shows a close-up to distinguish the well-balanced computations.
Current usage metrics show cumulative count of Article Views (full-text article views including HTML views, PDF and ePub downloads, according to the available data) and Abstracts Views on Vision4Press platform.
Data correspond to usage on the plateform after 2015. The current usage metrics is available 48-96 hours after online publication and is updated daily on week days.
Initial download of the metrics may take a while.