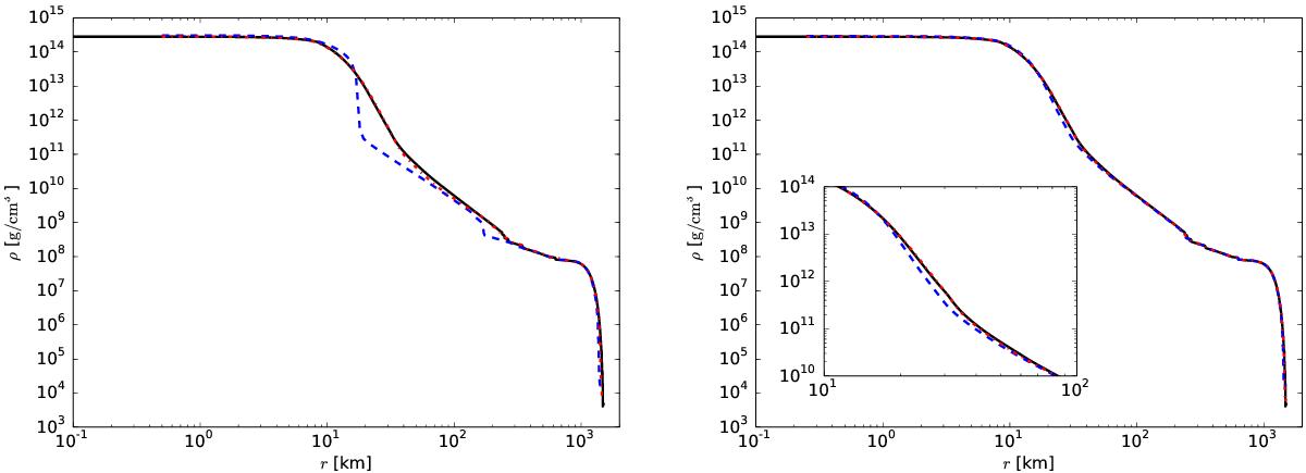
Fig. 6

Density as a function of radius for the standard and well-balanced schemes with N = 256 (left panel) and N = 512 (right panel). In both panels the (black) solid, (blue) dashed and the (red) dash-dotted line represent the reference solution (the well-balanced with N = 8192 in both panels), the solutions computed with standard and the well-balanced scheme, respectively. For both resolution, the well-balanced solutions are indistinguishable from the reference.
Current usage metrics show cumulative count of Article Views (full-text article views including HTML views, PDF and ePub downloads, according to the available data) and Abstracts Views on Vision4Press platform.
Data correspond to usage on the plateform after 2015. The current usage metrics is available 48-96 hours after online publication and is updated daily on week days.
Initial download of the metrics may take a while.