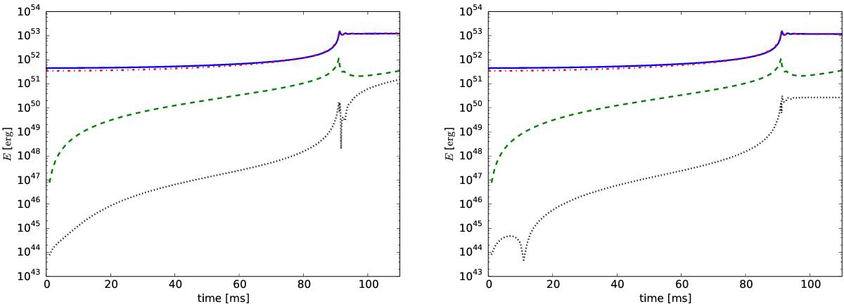
Fig. 7

Energies and total energy conservation as a function of time from the standard (left) and well-balanced (right) scheme with N = 512. In both panels, the solid (blue) line is the internal energy Eint, the dashed (green) line is the kinetic energy Ekin, the dash-dotted (red) line is minus the gravitational energy −Egrav and the dotted (black) line is the total energy conservation ΔE.
Current usage metrics show cumulative count of Article Views (full-text article views including HTML views, PDF and ePub downloads, according to the available data) and Abstracts Views on Vision4Press platform.
Data correspond to usage on the plateform after 2015. The current usage metrics is available 48-96 hours after online publication and is updated daily on week days.
Initial download of the metrics may take a while.