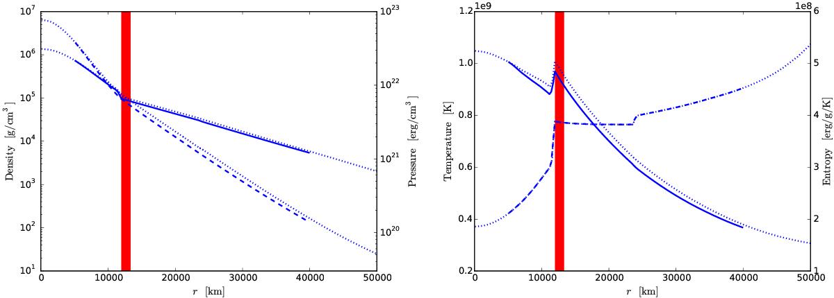
Fig. 8

Spherically averaged profiles at initial time of the stellar convection simulation. Left panel: density (solid line) and pressure (dashed line). Right panel: temperature (solid line) and specific entropy (dashed line). The dotted lines represent the original profiles from the one-dimensional stellar evolution code. The red region is where the energy source term is non-zero.
Current usage metrics show cumulative count of Article Views (full-text article views including HTML views, PDF and ePub downloads, according to the available data) and Abstracts Views on Vision4Press platform.
Data correspond to usage on the plateform after 2015. The current usage metrics is available 48-96 hours after online publication and is updated daily on week days.
Initial download of the metrics may take a while.